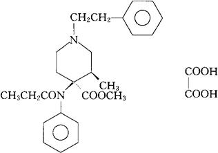
草酸洛芬太尼
C25H32N2O3·C2H2O4=498.57 CAS-61380-41-4 CAS-61380-40-3(lofentanil) 3-甲基-4-[(1-氧代丙基)苯-氨基]-1-(2-苯乙基)-4-哌啶羧酸,甲酯,顺,(-)-,乙二酸酯(1∶1)。 4-Piperidinecarboxylic acid,3-methyl-4-[(1-oxopropyl)phenylamino]-1-(2-phenylethyl)-,methyl ester,cis,(-)-,ethanedioate(1∶1). (-)-甲基顺-3-甲基-1-苯乙基-4-(N-苯基丙酰胺基)异哌啶甲酸酯草酸盐(1∶1)。 (-)-Methylcis-3-methyl-1-phenethyl-4-(N-phenylpropionamido)isonipecotate oxalate(1∶1). 镇痛药。 Lofentanil Oxalate,R 34,995. INN & BAN(Lofentanil),USAN.  |