莫他米德
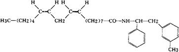
C33H47NO=473.74 CAS-29619-86-1 (-)-N-(对-甲基-α-苯基苯乙基)亚油酸酰胺。 (-)-N-(p-Methyl-α-phenylphenethyl)linoleamide. N-[2-(4-甲基苯基)-1-苯乙基]-9,12-十八碳二烯酰胺。 N-[2-(4-Methylphenyl)-1-phenylethyl]-9,12-octadecadienamide. 降血清胆固醇药。 用于降血清胆固醇。 Moctamide,AC 485,AHR 3108. INN,USAN.  |