网站首页  词典首页


请输入您要查询的字词:

 

字词 莫地帕芬
类别 中英文字词句释义及详细解析
释义 莫地帕芬

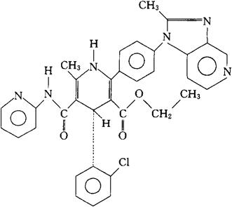
C34H29ClN6O3=605.10

CAS-122957-06-6

(+)-(R)-4-(邻-氯苯基)-1,4-二氢-6-甲基-2-[对-(2-甲基-1H-咪唑并[4,5-0]吡啶-1-基)苯基]-5-(2-吡啶基氨基甲酰基)烟酸乙酯。

Ethyl(+)-(R)-4-(o-chlorophenyl)-1,4-dihydro-6-methyl-2-[p-(2-methyl-1H-imidazo[4,5-0]pyridin1-yl)phenyl]-5-(2-pyridylcarbamoyl)nicotinate.

Modipafant,UK-80067.

INN,BAN,USAN.

随便看

 

离鸟网收录3541549条中英文词条,其功能与新华字典、现代汉语词典、牛津高阶英汉词典等各类中英文词典类似,基本涵盖了全部常用中英文字词句的读音、释义及用法,是语言学习和写作的有利工具。

 

Copyright © 2004-2024 vtrois.com All Rights Reserved
更新时间:2026/4/7 23:26:26