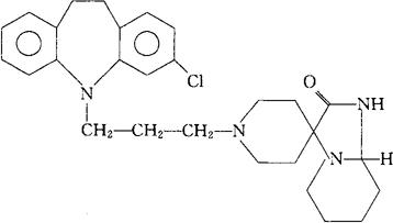
莫沙帕明
C28H35ClN4O=479.07 CAS-89419-40-9 (±)-1′-[3-(3-氯-10,11-二氢-5H-二苯并[b,f]氮杂 因-5-基)丙基]六氢螺][咪唑并[1,2-a]吡啶-3(2H),4′-哌啶]-2-酮。 (±)-1′-[3-(3-Chloro-10,11-dihydro-5H-dibenz[b,f]azepin-5-yl)propyl]hexahydrospiro[imidazo[1,2-a]pyridine-3(2H),4′-piperidin]-2-one. 抗抑郁药。 Mosapramine. INN,USAN.  |