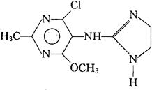
莫索尼定
C9H12ClN5O=241.68 CAS-75438-57-2 4-氯-5-(2-咪唑啉-2-基氨基)-6-甲氧-2-甲基嘧啶。 4-Chloro-5-(2-imidazolin-2-ylamino)-6-methoxy-2-methylpyrimidine. 4-氯-N-(4,5-二氢-1H-咪唑-2-基)-6-甲氧-2-甲基-5-嘧啶胺。 4-Chloro-N-(4,5-dihydro-1H-imidazol-2-yl)-6-methoxy-2-methyl-5-pyrimidinamine. 抗高血压药。 Moxonidine,BDF 5895,BE 5895. INN,USAN.  |