网站首页  词典首页


请输入您要查询的字词:

 

字词 莫诺芦丁
类别 中英文字词句释义及详细解析
释义 莫诺芦丁

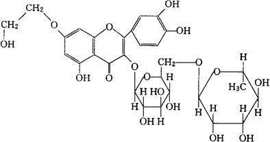
C29H34O17=654.58

CAS-23869-24-1

3,3′,4′,5′-四羟-7-(2-羟乙氧基)黄酮3-[6-O-(6-去氧-α-L-吡喃甘露糖基)-β-D-吡喃葡糖苷]。

3,3′,4′,5′-Tetrahydroxy-7-(2-hydroxyethoxy)flavone 3-[6-O-(6-deoxy-α-L-mannopyranosyl)-β-Dglucopyranoside].

抗高血压药。

羟乙芦丁。

Monoxerutin.

INN,USAN.

随便看

 

离鸟网收录3541549条中英文词条,其功能与新华字典、现代汉语词典、牛津高阶英汉词典等各类中英文词典类似,基本涵盖了全部常用中英文字词句的读音、释义及用法,是语言学习和写作的有利工具。

 

Copyright © 2004-2024 vtrois.com All Rights Reserved
更新时间:2026/4/8 1:47:20