网站首页  词典首页


请输入您要查询的字词:

 

字词 莫诺辛酯
类别 中英文字词句释义及详细解析
释义 莫诺辛酯

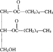
系一种单和双辛酸甘油酯和癸酸甘油酯,并有极少数的其他成分的半合成的化合物,这化合物有以下几种近似的甘油酯组成:甘油-1-辛酸酯(80%~85%),甘油1-癸酸酯和甘油1,2-二辛酸酯(10%~15%)和游离的甘油(最高为2.5%)。

A semisynthetic mixture of mono-and diglycerides of octanoic and decanoic acids,with other minor components.The glycerides have the following approximate composition:glycerol 1-octanoate(80% to 85%),glycerol 1-decanoate and glycerol 1,2-dioctanoate(10% to 15%),and free glycerol(maximum 2.5%).

Component A(80%~85%)

Component B Compoent B and Component C(10%-15%)

Component C

Component D(moximum 2.5%)

随便看

 

离鸟网收录3541549条中英文词条,其功能与新华字典、现代汉语词典、牛津高阶英汉词典等各类中英文词典类似,基本涵盖了全部常用中英文字词句的读音、释义及用法,是语言学习和写作的有利工具。

 

Copyright © 2004-2024 vtrois.com All Rights Reserved
更新时间:2026/5/25 23:32:37