网站首页  词典首页


请输入您要查询的字词:

 

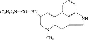
字词 莱舒利
类别 中英文字词句释义及详细解析
释义 莱舒利

C20H26N4O=338.45

CAS-18016-80-3

3-(9,10-二去氢-6-甲基麦角灵-8α-基)-1,1-二乙脲。

3-(9,10-Didehydro-6-methylergolin-8α-yl)-1,1-diethylurea.

5-羟色胺抑制药。

麦角乙脲。

Lisuride.

INN,BAN(Lysuride),USAN.

随便看

 

离鸟网收录3541549条中英文词条,其功能与新华字典、现代汉语词典、牛津高阶英汉词典等各类中英文词典类似,基本涵盖了全部常用中英文字词句的读音、释义及用法,是语言学习和写作的有利工具。

 

Copyright © 2004-2024 vtrois.com All Rights Reserved
更新时间:2026/4/9 13:57:18