网站首页  词典首页


请输入您要查询的字词:

 

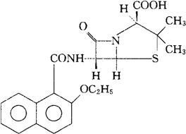
字词 萘夫西林
类别 中英文字词句释义及详细解析
释义 萘夫西林

C21H22N2O5S=414.48

CAS-147-52-4

6-[[(2-乙氧-1-萘基)羰基]氨基]-3,3-二甲基-7-氧代-4-硫杂-1-氮杂双环[3.2.0]庚烷-2-羧酸,[2S-(2α,5α,6β)]。

4-Thia-1-azabicyclo[3.2.0]heptane-2-carboxylic acid,6-[[(2-ethoxy-1-naphhalenyl)carbonyl]amino]-3,3-dimethyl-7-oxo-,[2S-(2α,5α,6β)].

(2S,5R,6R)-6-(2-乙氧-1-萘酰胺基)-3,3-二甲基-7-氧代-4-硫杂-1-氮杂双环[3.2.0]庚烷-2-羧酸。

(2S,5R,6R)-6-(2-Ethoxy-1-naphthamido)-3,3-dimethyl-7-oxo-4-thia-1-azabicyclo[3.2.0]heptane-2-carboxylic acid.

抗生素类药。

乙氧萘青霉素。

Nafcillin.

INN,BAN.

随便看

 

离鸟网收录3541549条中英文词条,其功能与新华字典、现代汉语词典、牛津高阶英汉词典等各类中英文词典类似,基本涵盖了全部常用中英文字词句的读音、释义及用法,是语言学习和写作的有利工具。

 

Copyright © 2004-2024 vtrois.com All Rights Reserved
更新时间:2026/4/8 15:10:44