网站首页  词典首页


请输入您要查询的字词:

 

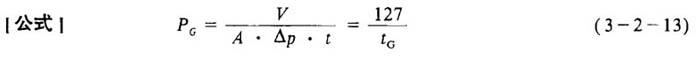
字词 葛尔莱法透气度的计算
类别 中英文字词句释义及详细解析
释义 葛尔莱法透气度的计算

式中 PG-透气度[μm/(Pa·s)]

tG-通过100ml空气的时间(s)

A-测试面积,为6.452cm2

△P-压力差,为1220Pa

V-透过纸面空气量,为100cm3

随便看

 

离鸟网收录3541549条中英文词条,其功能与新华字典、现代汉语词典、牛津高阶英汉词典等各类中英文词典类似,基本涵盖了全部常用中英文字词句的读音、释义及用法,是语言学习和写作的有利工具。

 

Copyright © 2004-2024 vtrois.com All Rights Reserved
更新时间:2026/4/7 11:05:15