网站首页  词典首页


请输入您要查询的字词:

 

字词 葛花
类别 中英文字词句释义及详细解析
释义 葛花

【名称出处】:《别录》

【概况】:

异名 葛条花(《中药志》)。

基源 为豆科葛属植物葛的花。

原植物 葛Pueraria lobata(Willd.)Ohwi

历史 本品载《本经逢源》。云其:“能解酒毒。”

余项参见“葛根”条。。【生药】:

采集 立秋后当花未全放时采摘花蕾,晒干。

药材主产于湖南、河南、广东、广西、浙江、四川、安徽

鉴别 花蕾呈不规则的扁长圆形或略呈扁肾形,长0.5~1.5cm,宽2~6mm,厚2~3rnm。萼片灰绿色,基部连合,先端5齿裂,裂片披针形,其中2齿合生,表面密被黄白色毛茸。基部有2片披针钻形的小苞片。花瓣5片等长,突出于萼外或被花萼包被,蓝紫色,外部颜色较浅,呈淡蓝紫色或淡棕色。雄蕊10枚,其中9枚连合,雌蕊细长,微弯曲,外面被毛。气微弱,味淡。

以朵大、淡紫色、未开放者为佳。

贮藏 置通风干燥处。

【化学】:

经预试含胺类或水溶性生物碱及微量黄酮化合物[1]

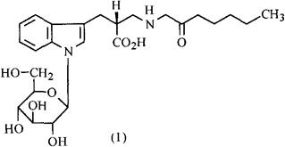
从花得新三萜皂甙3-O-[α-L-鼠李吡喃糖(1→2)-α-L-阿拉伯吡喃糖(1→2)-β-D-葡萄吡喃糖醛酸基]槐二醇及其甲酯、槐花皂甙Ⅲ(KaikasaponinⅢ及其甲酯,和6,4′-二羟基-7-甲氢基异黄酮等多种异黄酮[2]。还得到色氨酸衍生物1-β-D-葡萄吡喃糖-N己酰-L-色氨酸(1)[3],具有降低血糖的作用[4]

参考文献 [1] 南京药学院.中草药学.中册.江苏科学技术出版社,1987:490 [2] Chem Pharm Bull 1988;36(3):1174 [3] Chem Pharm Bull 1988;36(10):4171 [4] CA 1990;112:62607t。

【药性】:

性味 甘,凉。

❶ 《纲目》:“甘,平。”
❷ 《医林纂要》:“甘,寒。”
❸ 《滇南本草》:“性微寒,味甘、平、微苦。”

归经 《得配本草》:“入足阳明经。”

功效 解酒醒脾。

主治 伤酒发热烦渴,不思饮食,呕逆吐酸,吐血,肠风下血。

❶ 《别录》:“消酒。”
❷ 《纲目》:“治肠风下血。”
❸ 《医林纂要》:“清肺。”
❹ 《滇南本草》:“治头晕,憎寒,壮热,解酒醒脾,酒痢,饮食不思,胸膈饱胀,发呃,呕吐酸痰,酒毒伤胃,吐血,呕血,消热。”

用法用量 内服:煎汤,4.5~9g;或入丸、散。

【临床应用】:

方选和验方 ❶ 葛花解醒汤(《脾胃论》)治饮酒太过,呕吐痰逆,心神烦乱,胸膈痞满,手足战摇,饮食减少,大便不利:木香1.5g,橘皮、人参、猪苓、茯苓各4.5g,炒神曲、泽泻、干姜、白术各6g,青皮9g,白豆蔻仁、砂仁、葛花各15g。

为细末,每服6g,白汤调下,取微汗。
❷ 葛花平胃散(《症因脉治》)治酒湿而致的半身不遂:葛花、苍术、半夏、陈皮、甘草各适量。

为粗末,水煎服。如有热,加栀子、黄连。

❸ 葛花解毒饮(《审视瑶函》)治睛黄视渺:炒黄连、玄参、当归、炒龙胆草、茵陈、甘草、葛花、熟地黄、茯苓、栀子、连翘、车前子各等份。水煎服。
❹ 葛黄丸(《杂病源流犀烛·六淫门》)治酒积呕血:黄连120g,葛花90g。用大黄末水熬成膏为丸,每服百丸.温水送下。

❺ 葛花萝卜汤(新中医 1977;(4))治酒精中毒:葛花60g(干品),鲜萝卜2500g。加水煮沸,边煎边服。

❻ 葛花解醒汤(浙江中医杂志 1995;(6))治酒精所致幻觉:葛花、枳椇子各15g,木香、青皮各5g,神曲、泽泻、砂仁、猪苓、党参、白蔻仁、白术各10g,干姜6g,水煎服,每日2次分服。。

【医药家论述】:

张璐《本经逢原》:“葛花,能解酒毒,葛花解酲汤用之,必兼人参。但无酒者不可服,服之损人灭元,以大开肌肉,而发泄伤津也。”

随便看

 

离鸟网收录3541549条中英文词条,其功能与新华字典、现代汉语词典、牛津高阶英汉词典等各类中英文词典类似,基本涵盖了全部常用中英文字词句的读音、释义及用法,是语言学习和写作的有利工具。

 

Copyright © 2004-2024 vtrois.com All Rights Reserved
更新时间:2026/4/6 21:14:22