网站首页  词典首页


请输入您要查询的字词:

 

字词 葡乳醛酸钙
类别 中英文字词句释义及详细解析
释义 葡乳醛酸钙

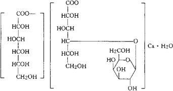
C18H32CaO19·H2O=610.53

CAS-12569-38-9

CAS-31959 85-0(anhydrous)

(4-O-β-D-吡喃半乳糖基-D葡萄糖酸基-O1)(D-葡萄糖酸基-O1)钙盐,(单)水合物。

(4-O-β D-Galactopyranosyl D-gluconato-O1)(Dgluconato-O1)calcium,monohydrate.

(D-葡糖酸基)(乳糖酸基)钙盐一水化合物。

(D-Gluconato)(lactobionato)calcium monohydrate.

乳糖酸D-葡糖酸钙盐一水化合物。

Calcium D-gluconate lactobionate monohydrate.

矿物质补充药(钙)。

Calcium Glubionate.

INN,USAN.

随便看

 

离鸟网收录3541549条中英文词条,其功能与新华字典、现代汉语词典、牛津高阶英汉词典等各类中英文词典类似,基本涵盖了全部常用中英文字词句的读音、释义及用法,是语言学习和写作的有利工具。

 

Copyright © 2004-2024 vtrois.com All Rights Reserved
更新时间:2026/4/9 15:19:26