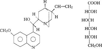
葡糖酸奎尼丁
C20H24N2O2·C6H12O7=520.58 CAS-7054-25-3 CAS-56-54-2(quinidine) (9S)-6′-甲氧脱氧辛可宁-9-醇单-D-葡萄酸盐。 (9S)-6′-Methoxy-cinchonan-9-ol, mono-D-gluconate(salt). 奎尼定单-D-葡萄糖盐。 Quinidine mono-D-gluconate(salt). 抗心律失常药,抗疟药,心脏抑制药。 葡萄糖酸奎尼丁。 Quinidine Gluconate,Duraquin,Quinaglute. USAN,USP. 
|