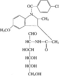
葡美辛
C25H27C1N2O8=518.95 CAS-52443-21-7 2-[2-[1-(对-氯苯甲酰基)-5-甲氧-2-甲基吲哚-3-基]乙酰胺]-2-去氧-D-葡萄糖。 2-[2-[1-(p-Chlorobenzoyl)-5-methoxy-2-methylindol-3-yl]acetamido]-2-deoxy-D-glucose. 消炎镇痛药。 Glucametacin,Eutrivan,Indicin,Indoglucin,Indosamide,Teorema,Teoremae,Teoremin. INN,USAN,MI.  |