网站首页  词典首页


请输入您要查询的字词:

 

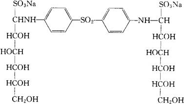
字词 葡胺苯砜钠
类别 中英文字词句释义及详细解析
释义 葡胺苯砜钠

C24H34N2Na2O18S3=780.71

CAS-554-18-7

1,1′-[磺酰双(4,1-亚苯基亚胺)]双[1-葡糖基-2,3,4,5,6-五羟-1-己烷磺酸]二钠。

Disodium1,1′-[sulfonylbis(4,1-phenyleneimino)]bis[1-gluco-2,3,4,5,6-pentahydroxy-1-hexaneolfonate].

抗麻风病药。用于治疗麻风病。

葡萄胺苯砜钠,普洛明。

Sodium Glucosulfone,Promin,Protomin,Promanide,Didextron Sulfone.

USP.

随便看

 

离鸟网收录3541549条中英文词条,其功能与新华字典、现代汉语词典、牛津高阶英汉词典等各类中英文词典类似,基本涵盖了全部常用中英文字词句的读音、释义及用法,是语言学习和写作的有利工具。

 

Copyright © 2004-2024 vtrois.com All Rights Reserved
更新时间:2026/4/7 4:02:54