网站首页  词典首页


请输入您要查询的字词:

 

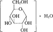
字词 葡萄糖[典]
类别 中英文字词句释义及详细解析
释义 葡萄糖[典]

C6H12O6·H2O=198.17

CAS-5996-10-1

右旋葡萄糖一水化合物。

D-Glucose monohydrate.

营养药。能增加人体能量,并具有解毒、利尿作用。

用于血糖过低、心肌炎和补充体液等。右旋糖,淀粉糖。

D-Glucose,Dextrose,Grapesugar,Cartose.

葡萄糖注射液,葡萄糖氯化钠注射液,葡萄糖氯化钙注射液(氯化钙葡萄糖注射液)。

BP,IP,JP,USAN,USP,MI.

随便看

 

离鸟网收录3541549条中英文词条,其功能与新华字典、现代汉语词典、牛津高阶英汉词典等各类中英文词典类似,基本涵盖了全部常用中英文字词句的读音、释义及用法,是语言学习和写作的有利工具。

 

Copyright © 2004-2024 vtrois.com All Rights Reserved
更新时间:2026/5/25 20:16:32