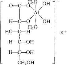
葡铝酸钾
C6H16AlKO11=330.27 CAS-23835-15-6 CAS-1317-30-2(replaced) 二水[葡糖酸根(2-)-O1O2]-二羟铝酸(1-)钾,(OC-6-44)。 Diaqua[gluconato(2-)O1,O2]-dihydroxya luminate(1-),potassium,(OC-6-44). 二水[葡萄糖根(2-)]二羟铝酸(1-)钾。 Potassium diaqual[gluconato(2-)]dihydroxyaluminate(1-). 制酸药。 Potassium Glucaldrate,McN-R-1162-22. USAN.  |