蒂尔评价法
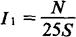
西方国家用于新产品开发的一种指数评价方法,是一种比较精确的评价方法。 它是把经济因素与决策论联合在一个四因素的模型中,多适用于特殊类型的产品开发。可用下式表示: 评价指数=I1×Ⅰ2×Ⅰ3×Ⅰ4 式中:I1为研究开发费用收益指数:  N为新产品生命期内提供净利润; S为研究开发费用;Ⅰ2为固定资产收益指数;  A为固定资产;Ⅰ3为销售额增加指数:  b为新产品销售额;B为在新产品生命期内的公司销售总额;I4为市场占有率:  M为新产品的全部市场。 方案优选的标准是评价指数≥1。 否则,不予选取。 |