蒸汽或液体的混合计算
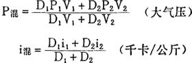
1.两种不同温度液体的直接混合  式中 G1,G2——两种液体量(公斤或公斤/小时) C1,C2——两种液体的比热(千卡/公斤·℃) t1,t2——两种液体混合前的温度(℃) tK——两种液体混合后的温度(℃) Qs——传热过程热损(为提温所需热量的3~10%) 或采用下式: G1i1+G2i2+……=ΣG·iΣ 式中 i1,i2——液体的热焓(千卡/公斤) 2.蒸汽与液体直接混合  式中 D——蒸汽耗用量(公斤或公斤/小时) G——液体量(公斤或公斤/小时) i——蒸汽的热焓(千卡/公斤) C——混入蒸汽凝结水后液体比热(千卡/公斤·℃) t1——液体加热后温度(℃) t2——液体加热前温度(℃) 3.两种不同压力蒸汽的直接混合 混合汽的压力(P混)及热焓(i混)为  式中 D1,D2——两种蒸汽的数量(公斤) V1,V2——两种蒸汽的比容(米3/公斤) i1,i2——两种蒸汽热焓(千卡/公斤) P1,P2——两种蒸汽的压力(大气压) |