网站首页  词典首页


请输入您要查询的字词:

 

字词 蒸煮锅能量平衡及计算方法
类别 中英文字词句释义及详细解析
释义 蒸煮锅能量平衡及计算方法

1.能量平衡方框图

能量平衡方框说明:
❶ 体系从进入蒸煮的蒸汽流量表开始至放锅止,
❷ 本方框图所标明的各项热量,系根据一般酸煮锅设备(无喷放锅)及生产工艺划分确定。如被测对象与上述情况有异,则其各项热量的划分应按实际情况进行。

图中符号意义:

Q1——加热绝干原料用的热量,kJ/锅;

Q2——加热原料中水分用的热量,kJ/锅;

Q3——加热蒸煮液用的热量,kJ/锅;

Q4——从蒸煮锅内移出作次锅蒸煮回用蒸煮液带出的热量,kJ/锅;

Q5——大放汽回收的热量,kJ/锅;

Q6——直接加热蒸煮液供给的热量,kJ/锅

Q7——间接加热蒸煮液供给的热量,kJ/锅;

Q8——蒸煮液带入蒸煮锅内的热量,kJ/锅;

Q9——放锅温水带入蒸煮锅内的热量,kJ/锅;

Q10——蒸煮锅体加热损失的热量,kJ/锅;

Q11——蒸煮锅体散热损失的热量,kJ/锅;

Q12——蒸煮锅管道及附属设备损失的热量,kJ/锅;

Q13——蒸汽凝结水热损失,kJ/锅;

Q14——大放汽热损失,kJ/锅;

Q15——蒸煮锅其他热损失,kJ/锅。

2.能量平衡及设备热效率计算

(1)蒸煮有效耗热总量QYX

计算公式:

QYx=Q1+Q2+Q3+Q4+Q5(kJ/锅)

式中符号意义同前。

其中:

Q1=G1C1(tb—t)(kJ/锅)

式中:G1—绝干原料的重量,kJ/锅;

C1——原料的比热容,kJ/(kg·℃);

tb——蒸煮最高温度,℃;

t——周围环境温度,℃。

Q2=G2C2(tb—t)(kJ/锅)

式中:G2——原料所含水分的重量,kJ/锅;

C2——水的比热容,kJ/(kg·℃);

式中:G3——蒸煮液的总重量,kg/锅;——从蒸煮锅中移出作次锅蒸煮回用的蒸煮液的重量,kg/锅

C3——蒸煮液的比热容,

对于亚硫酸盐蒸煮C3取4.187kJ/(kg·℃);

硫酸盐蒸煮液C3取3.77kJ/(kg·℃);

t5——从蒸煮锅移出的蒸煮液的平均温度℃;

t2——蒸煮开始温度,℃。

式中:t3——回用的蒸煮液的实际温度,℃;

t——周围环境温度,℃。

Q5=G3C3(t4—t)(kJ/锅)

式中:t4——蒸煮液回收大放汽热后的实际温度,℃;

t1——蒸煮液回收大放汽热前的实际温度,℃。

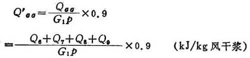
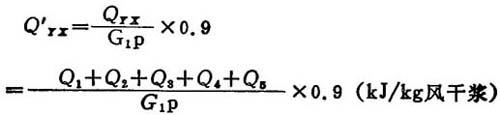
(2)蒸煮有效单位耗热量QYX

计算公式:

式中:p——蒸煮得率,%。

(3)蒸煮实际供给总热量QGG

计算公式:

QGG=Q6+Q7十Q8+Q9(kJ/锅)

式中符号意义同前:

其中:

式中:Dd——直接加热蒸煮液所耗用的蒸汽量,kg/锅;

i″——蒸汽的焓值,kJ/kg

i′——环境温度下凝结水的焓值,kJ/kg。

式中:Di——间接加热蒸煮液所耗用的蒸汽量,kg/锅;

i″、i′含义同前。

Q8=G3C3(t4—t)(kJ/锅)

式中:t4——进蒸煮锅的蒸煮液实际温度,℃;

t——周围环境温度,℃。

式中:G4——放锅温水的重量,kg/锅;

t′——放锅温水的温度,℃;

t——周围环境温度,℃。

(4)供给蒸煮实际单位耗热量QGG

计算公式:

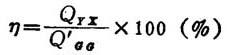
(5)蒸煮锅热效率η(%)

计算公式:

(6)蒸煮过程重复利用热量QCH

计算公式:

(7)蒸煮锅体加热损失的热量Q10

计算公式:

式中:Q10a——锅体钢板加热损失的热量,kJ/锅;

Q10b——锅体保温层加热损失的热量,kJ/锅;

Q10c——锅体砖衬加热损失的热量,kJ/锅。

❶ 锅体钢板加热损失热量Q10a

式中:G5——锅体钢板的总重量,kg/锅;

C5——钢板的比热容,取0.481kJ/(kg·℃);

t′钢——钢板在蒸煮过程中达到的最高温度,℃。

❷ 锅体保温层加热损失热量Q10b

式中:G6——锅体保温层的总重量,kg/锅;

C6——体温层材料的比热容取0.754kJ/(kg·℃);

t′层——保温层在蒸煮过程中达到的最高温度,℃;

t层——保温层在蒸煮过程中达到的最低温度,℃。

❸ 锅体砖衬加热损失热量Q10c

式中:G7——锅体砖衬的总重量,kg/锅;

C7——砖衬材料的比热容,取1kJ/(kg·℃);

t′砖——砖衬在蒸煮过程中达到的最高温度,℃;

t砖——砖衬在蒸煮过程中达到的最低温度,℃。

(8)蒸煮锅体散热损失热量Q11

计算公式:

式中:Q11a——蒸煮升温阶段锅体散热损失热量,kJ/锅;

Q11b——蒸煮保温阶段锅体散热损失热量,kJ/锅;

Q11c——蒸煮最高保持温度后至放锅完毕阶段锅体散热损失热量,kJ/锅。

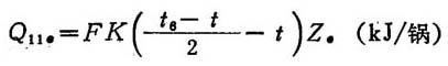
❶ 蒸煮升温阶段锅体散热损失热量Q11a

式中:F——锅体总表面积,m2

K——传热系数,kJ/(m2·h·℃);

Za——蒸煮升温时间,h;

t——周围环境温度,℃。

计算公式:

式中:δ——锅体钢板的厚度,m;

δ——锅体保温层的厚度,m;

δ——锅体砖衬的厚度,m;

λ——锅体钢板的导热系数取209.3kJ/(m·h·℃);

λ——钢体保温层的导热系数取0.628kJ/(m·h·℃);

λ——锅体砖衬的导热系数取1.51kJ/(m·h·℃);

α1——锅内蒸煮物对锅内壁的换热系数取20934kJ/(m2·h·℃);

α2——锅外壁对外界的换热系数,且有、α2=αe+αr其中αe为对流换热系数,α1为辐射换热系数。

式中:Q——锅外壁的平均温度,℃;

t——周围环境温度,℃。

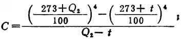
式中:C——温度系数

C′——辐射系数

;其中

C1为无光泽铁板的辐射系数4、4;

C2为砖衬的辐射系数4、3;

C3为完全黑体辐射系数4、7。

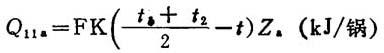
❷ 蒸煮保温阶段锅体散热损失热量Q11b

Q11b=FK(t6—t)Zb(kJ/锅)

式中:Zb——蒸煮最高温度保持时间,h。

❸ 蒸煮最高保持温度以后放锅完毕阶段锅体散热损失的热量Q11。

式中:Zb——蒸煮最高保持温度以后放锅完毕阶段时间。

(9)蒸煮锅管道及附属设备热损失Q12蒸煮锅管道及附属设备(如循环泵、加热泵、预热器等)热损失亦包括加热损失和散热损失两部分,可分别进行计算。计算困难时,可进行估算,取该项热损失(最大值)为蒸煮有效耗热总量的10%,即:

Q12=0.1×QYx=0.1×(Q1+Q2+Q3+Q4+Q5)(kJ/锅)

(10)蒸汽凝结水热损失Q13

计算公式:

Q13=Q13a+Q13b(kJ/锅)

式中:Q13a——直接加热蒸煮液蒸汽凝结水的热损失,kcal/锅;

Q13b——间接加热蒸煮液蒸汽凝结水的热损失,kcal/锅;

其中:

式中:Da——直接加热蒸煮液所耗用的蒸汽量,kg/锅;

C′2——水的平均比热容4.187,kJ/(kg·℃);

t2——蒸煮开始温度,℃;

t6——蒸煮最高温度,℃;

t——周围环境温度,℃。

式中:Di——间接加热蒸煮液所耗用的蒸汽量,kg/锅

其他符号意义同上。

说明:(1)Q13b热量在企业生产中一般是加以利用的,但在蒸煮锅能量平衡系统中仍视为热损失。

(2)计算公式中的是特定通汽方式下的蒸汽平均温度,使用时应注意。

(3)C2是蒸汽凝结温度下的平均比热容,取4.187kJ/(kg·℃)。

(11)大放汽热损失Q14

计算公式:

式中:Q′5——大放汽放出的总热量,kJ/锅;

Q5——大放汽回收的热量,kJ/锅。

其中:

式中:W——大放汽的总蒸汽量,kg/锅;

iW——大放汽蒸汽在平均温度压力下的热焓,kJ/kg;

i1——环境温度、常压下水的热焓,kJ/kg。

(12)蒸煮锅其他热损失Q15

其他热损失包括蒸汽的泄漏损失,容器的开口散热损失,放锅热水的热交换损失,蒸煮液移出热损失等等,可视具体情况进行计算,估算,亦可用反算法求算。

计算公式(反算法):

(13)蒸煮锅总热损失Qss

计算公式:

式中各符号意义同前。

随便看

 

离鸟网收录3541549条中英文词条,其功能与新华字典、现代汉语词典、牛津高阶英汉词典等各类中英文词典类似,基本涵盖了全部常用中英文字词句的读音、释义及用法,是语言学习和写作的有利工具。

 

Copyright © 2004-2024 vtrois.com All Rights Reserved
更新时间:2026/5/25 12:06:48