网站首页  词典首页


请输入您要查询的字词:

 

字词 蒸球容积和台数的选定计算
类别 中英文字词句释义及详细解析
释义 蒸球容积和台数的选定计算

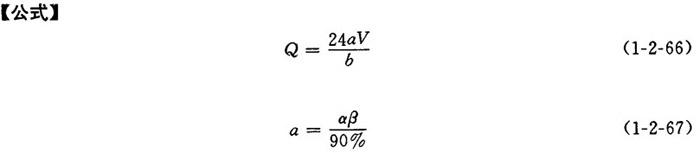
式中 V——所需蒸球总容积(m3)

G——粗浆日产量(kg绝干浆/d)

K——蒸煮系数[kg绝干浆/(m3·d)]

T——蒸煮周期(h)

G1——蒸球单位容积粗浆产量(kg绝干浆/m3)

α、β——含义及单位均见式1-2-67

G′——细浆日产量(kg绝干浆/d)

γ——成浆率(%)

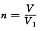
n——蒸球台数

V1——单台蒸球容积(m3)

【例1】要求蒸煮车间的粗浆日产量达到6t(绝干草浆),选定蒸球单位容积装料量(绝干草片)为90kg/m3,粗浆收获率为55%,蒸煮周期为7h,试确定选用的蒸球容积和台数。

解法一:

蒸球单位容积粗浆产量G1

G1=αβ=90×55%=49.5(kg绝干浆/m3);

蒸煮系数K

所需蒸球总容积V

可选用25m3和14m3蒸球各一台,或选用40m3蒸球一台,即可满足生产要求。

解法二:

根据式1-2-72得:

【例2】某厂日产25t风干漂白硫酸盐麦草浆,考虑到今后原料品种可能有所变更,决定采用蒸球蒸煮。按装球量150kg绝干草片/m3(经予浸渍),全程总蒸煮时间为4h,每天运行24h计,纤维粗浆收获率为47%,成浆率为38%,确定蒸球的容积和个数。

解法一:

如选用25m3蒸球3台,总容积为75m3,富裕量为13%;如选用40m3蒸球两台,总容积为80m3,富裕量为21%,为此,可视具体情况,进行方案比较后确定,如今后有扩建可能,一般宜采用后者。

解法二:

根据式1-2-73得:

蒸球的选择同解法一。

随便看

 

离鸟网收录3541549条中英文词条,其功能与新华字典、现代汉语词典、牛津高阶英汉词典等各类中英文词典类似,基本涵盖了全部常用中英文字词句的读音、释义及用法,是语言学习和写作的有利工具。

 

Copyright © 2004-2024 vtrois.com All Rights Reserved
更新时间:2026/5/25 16:57:11