网站首页  词典首页


请输入您要查询的字词:

 

字词 蒿甲醚[部]
类别 中英文字词句释义及详细解析
释义 蒿甲醚[部]

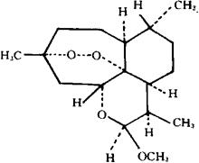
C16H26O5=298.38

CAS-71963-77-4

(3R,5aS,6R,8aS,9R,10S,12R,12aR)-十氢-10-甲氧基3,6,9-三甲基-3,12-环氧-12H-吡喃并[4,3-j]-1,2-苯并二氮杂

(3R,5as,6R,8aS,9R,10S,12R,12aR)-Decahydro10-methoxy-3,6,9-trimethyl-3,12-epoxy-12H-pyrano[4,3-j]-1,2-benzodioxepin.

10-β-甲基二氢青蒿素。

10-β-Methyl-dihydroartemisine.

抗疟药。用于恶性疟和抗氯喹恶性疟及凶险型疟。

青蒿醚。

Artemether,Artemethetine.

蒿甲醚油悬注射液。

INN,USAN,MI.

随便看

 

离鸟网收录3541549条中英文词条,其功能与新华字典、现代汉语词典、牛津高阶英汉词典等各类中英文词典类似,基本涵盖了全部常用中英文字词句的读音、释义及用法,是语言学习和写作的有利工具。

 

Copyright © 2004-2024 vtrois.com All Rights Reserved
更新时间:2026/4/7 17:15:22