网站首页  词典首页


请输入您要查询的字词:

 

字词 蓬莪术
类别 中英文字词句释义及详细解析
释义 蓬莪术

【概况】:

异名 蓬莪茂(《日华诸家本草》)。

基源 为姜科姜黄属植物莪术的干燥根茎。

原植物 莪术Curcuma zedoaria(Christm.)Rosc,,又名蓬莪茂、山姜黄、臭尿姜(《中国植物志》)

历史 莪术古名蓬莪茂,始载于《药性论》。关于原植物自古以来各家说法就不一致。

陈藏器谓:“一名蓬莪,黑色,二名蒁,黄色,三名波杀,味甘有大毒。”据《中药志》谓,姜黄属植物无大毒,因此波杀非本属植物。《日华诸家本草》载蓬莪茂:“即南中姜黄也,海南生者名蓬莪蒁”。《证类本草》在蓬莪茂项下附有“端州蓬莪茂和温州蓬莪茂”二图,后者即今之温莪术。总之,古之本草所载非一种植物。

由于姜黄属植物新鲜材料上的特征对植物鉴定具有十分重要的意义,而一般的鉴定主要是依靠标本。因此长期以来关于本类药物的原植物存在许多问题。早在1790年,Loureiro在《Fl.Cochinch.》中认为中国的蓬莪茂为Curcuma rotunda,山姜黄为Curcuma zedoaria。可能后来由于发现部分地区的山姜黄即莪术,在干标本外观特征上山姜黄与C.zedoaria比较相似,所以在中国许多文献上一直认为正品莪术为C.zedoaria。

据写《中药志》的有关工作者调查,未发现C.zedoaria作莪术用,而在标本上定为C.zedoaria的植物多数为C.aeruginosa或C.kwangsinensis。目前,莪术的商品主要为桂莪术C.kwangsiensis S.G.Lee et C.F.Liang,其次为温莪术C.wenyujin Y.H.Chen et C.Ling、莪术C.aeruginosa Roxb(C.zedoaria non Rosc.)《中国植物志》载莪术Curcuma zedoaria(Christm)Rosc;《中药志》认为莪术(文术)为C.aeruginosaRoxb.并根据根茎切面为黄色,叶片紫色晕较宽,花瓣白色与莪术有区别命名为黄莪术C.zedoaria Rosc.最近《中国药典》认为蓬莪术应是Curcuma phaeocaulis Valeton。总之商品药材植物来源可能不止1种,另在植物的鉴定上也存有不同的看法,留待今后进一步研究确定。

形态 多年生草本,株高约1m;根茎圆柱形,肉质,具樟脑般香味,淡黄色或白色;根细长或末端膨大成块根。

叶直立,椭圆状长圆形至长圆披针形,长25~60cm,宽10~15cm,中部常有紫斑;叶柄较叶片长。花葶由根茎单独发出,常先叶而生,长10~20cm,被疏松、细长的鳞片鞘数枚;穗状花序阔椭圆形,长10~18cm,宽5~8cm;苞片卵形,稍开展,下部的绿色,顶端红色,上部的较长而紫色;花萼长1~1.2cm,白色,顶端3裂;花冠管长2~2.5cm,裂片长圆形,黄色,后方的1片较大,顶端具小尖头;侧生退化雄蕊比唇瓣小;唇瓣黄色,近倒卵形,顶端微缺;花药长约4mm,药隔基部具叉开的距;子房无毛。

花期4~6月。(图见《中药志》.第1册.第1版.424页.图279)

生境与分布 栽培或野生于林荫下。分布于中国台湾、海南、广东、广西、福建、四川、云南。印度至马来西亚也有分布。

。【生药】:

栽培 宜温暖湿润气候。

上壤以肥沃疏松、排灌方便的砂质壤土和冲积土为佳。用根茎繁殖,于2~3月间选择萌芽的过冬莪术根茎作种栽。按株行距各33cm开穴,深6~10cm,每穴栽种1个,芽向上,每亩用种量100kg左右。栽后覆土踩紧。

生长期中,结合中耕除草,追肥2~3次。冬季结合清洁田园进行培土,烧毁枯枝落叶,消灭越冬幼虫。

采集 冬季茎叶枯萎后采挖,洗净,蒸或煮至透心,干燥后除去须根及杂质。药材主产于广西、四川。此外,福建、广东、浙江、云南亦产。

鉴别 干燥根茎呈卵圆形、圆锥形或长纺锤形,长2~8cm,直径1.5~4cm。表面灰黄色至黄棕色,环节明显,节上有圆形稍凹下的须根痕或有残留须根,有的可见刀削痕。体重,质坚实,断面黄绿色至棕褐色,蜡样,内皮层环纹黄白色,维管束点状,淡黄棕色。

气微香,味微苦而辛。

加工炮制 醋莪术:取净莪术置锅中,加米醋与适量水浸没,煮至醋液被吸尽,切开无白心时,取出,稍晾,切厚片,干燥。

贮藏 置通风干燥处,防蛀。

【化学】:

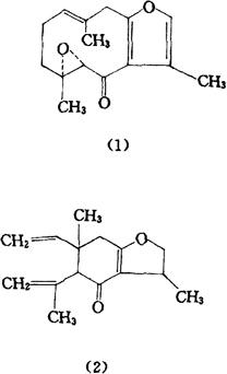
莪术(C.zedoaria)含挥发油1%~1.5%,油中主要为倍半萜烯类:蓬莪术环氧酮(Zederone)(1)、蓬莪术酮(Zedoarone)(2)、蓬莪术环二烯(Furanodine)、蓬莪术烯(Curzerene)、蓬莪术环二烯酮(Furanodienone)、异蓬莪术环二烯酮(Isofuranodienone)、蓬莪术烯酮(Curzerenone)、表蓬莪术烯酮(Epicurzerenone)、姜黄二酮(Curdione)、姜黄醇酮(Curcolone)、姜黄环氧薁烯醇(Curcumenol)、原姜黄环氧薁烯醇(Procurcumenol)、异姜黄环氧薁烯醇(Isocurcumenol)、姜黄环氧薁醇(Curcumol)、姜黄薁二醇(Curcumadiol),姜黄素(Curcumin)、去氢姜黄二酮[1]

干品含淀粉约64%[2]。其它品种的莪术挥发油成分各有差异[3~6]

参考文献 [1] Chem Pharm Bull 1972;20∶987 [2] CA 1962;57∶10085a [3] 药学学报,1982;17∶441 [4] 南京药学院,中草药学.下册.江苏科学技术出版社,1980;1374 [5] 药物分析杂志 1985;5(1)∶4 [6] 中草药 1997;28(2)∶114

。【药性】:

❶ 抗肿瘤 口服及腹腔注射蓬莪术注射液对小鼠肉瘤-180有抑制作用,但口服对小鼠艾氏腹水癌则无效。

❷ 抗菌 挥发油试管内抑制金黄色葡萄球菌、β-溶血性链球菌、大肠杆菌、伤寒杆菌、霍乱弧菌。
❸ 对消化道的作用与生姜相似,能直接兴奋胃肠道,偶有用于气胀性绞痛[1]
❹ 抗生育 蓬莪术根茎醇浸膏10,15g/kgig,于妊娠第6~10天给药,对大鼠、小鼠有抗早孕作用,于交配第1~5天给药有抗著床作用;14g/kg ig,于妊娠第10~14天给药,对孕犬也有一定抗著床作用[2]。蓬莪术醇浸膏975mg/kg ig,于交配第1~4天给药对小鼠有抗著床作用,于第6~9天给药有抗早孕作用,抗著床与抗早孕动物子宫内膜均无蜕膜化反应,分泌期被抑制,抗早孕动物,胚胎发生退化,以致剥脱[3]

参考文献 [1] 江苏新医学院.中药大辞典.下册.上海人民出版社,1977∶2450 [2] 中草药1980;11(9)∶409 [3] 中草药 1981;12(2)∶26

性味 苦、辛,温。 ❶ 《开宝本草》:“味苦、辛,温。”
❷ 《医学启源》:“味苦,平。”

归经 入肝、脾经。

❶ 《雷公炮制药性解》:“入肺、脾二经。”
❷ 《本草汇言》:“入足厥阴肝经。”
❸ 《本草再新》:“入心、肾二经。”

功效 行气,破血,消积,止痛。

主治 心腹胀痛,癥瘕,积聚,宿食不消,妇女血瘀经闭,跌打损伤作痛。 ❶ 《药性论》:“治女子血气心痛,破痃癖冷气,以酒醋摩服。”
❷ 《日华子本草》:“治一切气,开胃消食,通月经,消瘀血,止扑损痛,下血及内损恶血等。”
❸ 《开宝本草》:“主心腹痛,中恶,忤,霍乱,冷气吐酸水,解毒,食饮不消,酒研服之。

又疗妇人血气,丈夫奔豚。”
❹ 《医学启源》:“主心膈痛。”
❺ 王好古:“通肝经聚血。”
❻ 《本草品汇精要》:“破积聚。”
❼ 《医学入门》:“能逐水,治心痺病,破气痞。”
❽ 《本草通玄》:“专走肝家,破积聚恶血,疏痰食作痛。”
❾ 《生草药性备要》:“敷疮消肿,散瘀止痛。亦能止血理跌打。


❿ 《会约医镜》:“治气滞膨胀,气肿,水肿。” ⑾《全国中草药汇编》:“积滞胀痛,血瘀腹痛,肝脾肿大,血滞经闭。”

用法用量 内服:煎汤,3~10g;或入丸、散。

使用注意 气血两虚,脾胃薄弱无积滞者慎服,孕妇忌服。

。【临床应用】:

方选和验方 ❶ 蓬莪术散(《博济方》)治产后血海气虚,腹脏疼痛,心腹疰闷,每遇红脉行,或多或少,及有块积:蓬莪术、炒当归、煨大黄、桃仁各30g,桂心、川芎、牡丹皮、木香、赤芍、延胡索各15g。

研为散,每服3g,温酒调下。
❷ 蓬莪茂丸(《太平圣惠方》)治妇人痃癖气,两胁妨胀,或疼痛,不下饮食:蓬莪术、京三棱各0.9g,鳖甲、芫花、神曲、麦芽各30g,草薢、木香各15g,麝香0.3g。研末,醋糊为丸,如梧桐子大。每服20丸,温酒下。

❸ 蓬莪茂散(《太平圣惠方》)治产后恶血留滞,憎寒壮热,心腹疼痛:蓬莪茂、当归、大黄、桃仁各30g,蒲黄、桂心各0.9g。研为散,每服6g,温酒下。

❹ 莪术散(《秘传内府经验女科》)治经来未尽,遍身潮热,口渴,小腹疼痛,头痛:三棱(醋炒)、莪术(醋炒)、红花、牛膝、苏木。水煎,空心服。
❺ 蓬莪散(《博济方》)治伤扑疼痛:蓬莪术、白僵蚕、苏木各30g,没药15g。研为散,每服6g,水煎服。

日3~5次。
❻ 正元散(孙用和)治气不接续,气短,兼治滑泄及小便数:蓬莪茂30g,金铃子(去核)30g。

上为末,更入硼砂3g,炼过研细,都和匀,每服6g,盐汤或温酒调下,空心服。
❼ 《本草汇言》:“治奔豚疝瘕:蓬莪术、肉桂、小茴香各等份。为末服。


❽ 《马氏小品》:“治霍乱吐利欲死:蓬莪术、藿香、滑石、槟榔、厚朴、葱头。水煎冷服。”
❾ 《全国中草药汇编》:“治腹胀、积块:莪术、三棱各6g,青皮9g,麦芽15g。水煎服。”
❿ 《全国中草药汇编》:“治肝脾肿大:莪术、三棱各6g,鳖甲、丹参、白术各12g,桃仁、红花各9g,水煎服。”

单方应用 ❶ 《卫生家宝方》:“治一切冷气,抱心切痛,发即欲死,久患心腹痛时发者:蓬莪术60g(醋煮),木香30g(煨)。为末,每服1.5g,淡醋汤下。”
❷ 《杨氏护命方》:“治小肠脏气非时痛不可忍:蓬莪茂,研末,空心,葱酒服3g。”
❸ 《丹溪心法》:“治吞酸吐酸:蓬莪术30g,川黄连15g(吴茱萸15g,同煮,去吴茱萸)。水煎服。”
❹ 《普济方》:“治妇人血气痛游走及腰痛:蓬术(切片)、干漆(研碎)各60g,上同炒令漆焦香,取出漆不用,只用蓬术为末,温酒调下9g,腰痛用胡桃酒下,游走痛,冷水调下。”
❺ 《保生方》:“治上气喘急:蓬莪茂15g。酒300ml,煎240ml。


❻ 《全国中草药汇编》:“治子宫颈癌:取温莪术饮片6000g,迅速用蒸馏水洗2~3次,加蒸馏水(淹没饮片)煎煮1小时,过滤,药渣再加蒸馏水同法再蒸煮2次。合并3次滤液,浓缩至1500ml左右,冷后加3倍量乙醇,搅拌,静置12小时以上,滤去沉淀物。回收乙醇,冷后过滤,加蒸馏水2000ml,加活性炭15g,热压灭菌115℃30分钟,过滤,加吐温-8015ml,苯甲醇60ml,热压灭菌115C30分钟,冷存24小时,过滤,用5%氢氧化钠液调pH至7.2~7.5,过滤,加注射用水至3000ml,经3号垂熔漏斗精滤至澄明,热压灭菌115C30分钟,制成温莪术注射液,每日1次,每次10~30ml局部病灶注射。用扁桃体注射器(皮肤癌、外阴癌用一般注射器即可),将针头插入病灶组织内或基底层,由浅入深将药液均匀送到病灶内,以药液不漏出为准,深度达病灶基底层,在肉眼看来,病灶周围似乎是正常的一些组织最好也同时给药。”

。【医药家论述】:

❶ 苏颂等《本草图经》:“蓬莪茂,古方不见用者,今医家治积聚诸气,为最要之药。与荆三棱同用之良,妇人药中亦多使。”
❷ 王好古《汤液本草》:“蓬莪茂色黑,破气中之血,虽为泄剂,亦能益气,故孙用和治气短不能接续。所以大小七香丸,集香丸散及汤内多用此也。”
❸ 李时珍《纲目》:“郁金入心,专治血分之病;姜黄入脾,兼治血中之气:蓬莪蒁入肝,治气中之血,稍为不同。按王执中《资生经》云,执中久患心脾疼,服醒脾药反胀,用蓬莪蒁面裹炮熟研末,以水与酒醋煎服立愈,盖此药能破气中之血也。”
❹ 缪希雍《本草经疏》:“心腹痛者,非血气不得调和,即是邪客中焦所致,中恶疰忤,皆由气不调和,脏腑壅滞,阴阳乖隔,则疫疠疰忤得以凭之。茂气香烈,能调气通窍,窍利则邪无所容而散矣。解毒之义,亦同乎是。其主霍乱冷气吐酸水,及饮食不消,皆行气之功也,故多用酒磨。又疗妇人血气结积,丈夫奔豚,入肝破血行气故也,多用醋磨。

郁金入心亦入肝,专主血分,亦散肝郁。茂与三棱专能行气破积。

姜黄行气破血,入脾为多。”“蓬莪茂行气破血散结,是其功能之所长,若夫妇人小儿,气血两虚,脾胃素弱而无积滞者,用之反能损真气,使食愈不消而脾胃益弱,即有血气疑结,饮食积滞,亦当与健脾开胃,补益元气药同用,乃无损耳。”
❺ 《医家心法》:“广茂即莪术。凡行气破血,消积散结,皆用之。

属足厥阴肝经气分药,大破气中之血,气血不足者服之,为祸不浅。好古言孙尚药用治气短不能接续。(《经》言短气不足息者下之,盖此之谓也。然中气虚实天渊,最宜详审。)此短字乃是胃中为积所壅,舒气不长,似不能接续,非中气虚短不能接续也。若不足之短而用此,宁不杀人。

随便看

 

离鸟网收录3541549条中英文词条,其功能与新华字典、现代汉语词典、牛津高阶英汉词典等各类中英文词典类似,基本涵盖了全部常用中英文字词句的读音、释义及用法,是语言学习和写作的有利工具。

 

Copyright © 2004-2024 vtrois.com All Rights Reserved
更新时间:2026/4/7 10:30:57