网站首页  词典首页


请输入您要查询的字词:

 

字词 蔷薇根
类别 中英文字词句释义及详细解析
释义 蔷薇根

【概况】:

基源 为蔷薇科蔷薇属植物野蔷薇及粉团蔷薇的根。

原植物 野蔷薇Rosa multiflora Thunb.。粉团蔷薇Rosa multiflora Thunb.var.cathayensis Rehd.et Wils.

余项参见“蔷薇花”条。

【生药】:

采集 全年可挖根部,除去泥杂,洗净晒干。

【化学】:

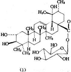
含委陵菜酸(Tormentic acid)[1]、β-谷甾醇,2α,19α-二羟基乌苏酸、野蔷薇甙(Rosamultin)(1)[2]

参考文献 [1] Chem Pharm Bull 1969;17∶2223 [2] 药学学报 1983;18(4)∶314

【药性】:

性味 苦、涩,凉。

❶ 《日华子本草》:“味苦、涩,冷。”
❷ 《南宁市药物志》:“甘、涩,性平。”

归经 入脾、胃经。

❶ 《纲目》;“入阳明经。”
❷ 《本草汇言》:“入足阳明经。”
❸ 《本草再新》:“入脾、肾二经。”

功效 清热利湿,祛风,活血,解毒。

主治 肺痈,消渴,痢疾,关节炎,瘫痪,吐、衄、便血,尿频,遗尿,月经不调,跌打损伤,疮疔疥癣。 ❶ 《别录》:“止泻痢腹痛,五脏客热,除邪逆气,疽癞诸恶疮,金疮伤挞,生肉复肌。”
❷ 《日华子本草》:“治热风毒,痈疽恶疮,牙齿痛,治邪气,通血经,止赤白痢,肠风泻血,恶疮疥癣,小儿疳虫肚痛。”
❸ 《纲目》:“除风热湿热,缩小便,止消渴。”
❹ 《纲目拾遗》:“治肺痈吐脓痰,酒煎服。”
❺ 《浙江民间草药》:“活血调经,清下焦湿热。”

用法用量 内服:煎汤,4.5~12g。外用:捣敷或含漱。

【临床应用】:

方选和验方 ❶ 蔷薇丸(《备急千金要方》)治瘰疬、身体有热及常有细疮、口中生疮:蔷薇根60g,石龙芮、黄芪、鼠李根、黄芩、芍药、苦参、白薇、防风、龙胆草、天花粉各30g,山栀120g。

研末,炼蜜为丸,如梧桐子大,每服15丸,开水下,日2服。
❷ 蔷薇汤(《千金翼方》)治积年口疮不瘥:蔷薇根30g,水煎含之,良久吐之,再含之。
❸ 蔷薇根散(《太平圣惠方》)治口舌疮、攻胸中皆生疮:蔷薇根皮120g,黄柏、升麻各60g,生干地黄150g。研为散,每服15g,水煎含咽。

❹ 蔷薇根膏(《太平圣惠方》)治齿:蔷薇根90g,地骨皮、葱根、胡粉各30g,蜡0.3g。前3味水煎取汁,以重抄纸半张浸之,晒干再浸,汁尽为止;晒干,以粉、蜡涂之,剪成条子,夜卧贴之。

单方应用 ❶ 《中国民间小单方》:“治小便失禁:蔷薇根60g煮汁饮,每晚1次,连服7日。”
❷ 江西《草药手册》:“治夏天热疖:鲜蔷薇根90g,煎水代茶。”
❸ 《贵州草药》:“治烫伤:蔷薇根、斑鸠毛各等量,煨水洗伤处。”
❹ 《贵州草药》:治跌打劳伤:蔷薇根30g,煨水成浓汁,兑酒服。”
❺ 《贵州草药》:“治吐血或痔疮出血:蔷薇根30g,煨水服。”
❻ 《上海常用中草药》:“治关节炎、半身瘫痪、月经不调、白带、口腔糜烂:野蔷薇根15~30g,煎服。”

食疗 ❶ 《青岛中草药手册》:“治妇女月经过多、老幼尿频:鲜蔷薇根30g,炖瘦猪肉食。”
❷ 《青岛中草药手册》:“治习惯性鼻衄:蔷薇根30g,炖母鸡食。”

随便看

 

离鸟网收录3541549条中英文词条,其功能与新华字典、现代汉语词典、牛津高阶英汉词典等各类中英文词典类似,基本涵盖了全部常用中英文字词句的读音、释义及用法,是语言学习和写作的有利工具。

 

Copyright © 2004-2024 vtrois.com All Rights Reserved
更新时间:2026/5/25 9:05:06