网站首页  词典首页


请输入您要查询的字词:

 

字词 薄膜加压装置及计算
类别 中英文字词句释义及详细解析
释义 薄膜加压装置及计算

1-下压辊 2-上压辊 3-杠杆 4-上辊加压的气压室 5-上辊抬起的气压室 6-气压室外壳 7-顶盘 8-气动压调节 9-机架 a-气膜中心到支点距离 b-上辊中心到支点距离

1-杠杆 2-连杆 3-膜片壳 4-膜片 5-顶盘 6-机架

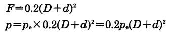
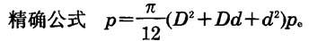
薄膜加压计算

式中 p——点压力,MPa

F——加压面积,cm2

D——膜片工作直径,cm

d——顶盘直径,cm

pe——气压室表压,MPa

通常膜片直径为30~60cm,顶盘直径为膜片工作直径0.6~0.7倍,膜片行程为其直径的0.15~0.2倍。

随便看

 

离鸟网收录3541549条中英文词条,其功能与新华字典、现代汉语词典、牛津高阶英汉词典等各类中英文词典类似,基本涵盖了全部常用中英文字词句的读音、释义及用法,是语言学习和写作的有利工具。

 

Copyright © 2004-2024 vtrois.com All Rights Reserved
更新时间:2026/4/6 21:43:13