网站首页  词典首页


请输入您要查询的字词:

 

字词 薏苡仁
类别 中英文字词句释义及详细解析
释义 薏苡仁

【概况】:

异名 薏米(《药品化义》),苡米(《本草求原》),芭实(《纲目》),川谷、回回米(《救荒本草》),感米(《千金·食治》),薏仁(《本草新编》)。

基源 为禾本科薏苡属植物薏米及薏米的颖果。薏苡属全世界有10余种,中国约有5种,入药有2种。

原植物 薏米Coix chinensis Tod.(Coix ma-yuen Roman.)和薏苡Coix lacryma-jobi L.,C.lacrymajobi L.var.mayuen(Roman.)Stapf

历史 薏苡始载于《本经》列入上品。中国历代本草均有收录。

李时珍《纲目》云:“薏苡,人多种之,二、三月宿根自生,叶如初生芭茅,五、六月抽茎开花结实有二种,一种粘牙者,尖而壳薄,即薏苡也,其米白色如糯米,可优势粥饭及磨面食,亦可用来酿酒。”李时珍所述此种的特征符合“薏米”的特征。

形态 秆高1~1.6m,有6~10节,多分枝。叶片宽大开展,无毛。

总状花序腋生;总苞椭圆形,先端成颈状之喙,并具一斜口,基部短收缩,长8~12mm,宽4~7mm,有纵长直条纹,质地较薄,揉搓和指压可破,暗褐色或浅棕褐色。颖果大,长圆形,长5~8mm,宽4~6mm,厚3~4mm。花果期7~12月。(图见《中国植物志》.第10卷.第2分册.图版73∶3)

生境与分布 生于海拔2000m以下的潮湿地区。

中国东南部常见栽培或逸生。亚洲热带与亚热带地区也有。

。【生药】:

栽培 薏苡为湿生性作物,适当性较强。

宜温暖湿润气候,需在肥沃潮湿的粘质壤土中种植。用种子繁殖,早播于3~4月,晚播于6月上旬。

播前先将颖果用凉水浸湿,再用60~65℃的温水浸种10~15分钟,然后捞出种子装于蒲包内,压沉于5%的生石灰水中,浸种48小时以上,保持水面形成油状薄膜,可防治黑穗病,且可以促进种子萌发。浸后以清水淘净,即可播种。

点播行株距40mm左右,每穴播种4~5粒,每亩用种量3~4kg。也可按行距40~50cm开沟条播。

深约3cm,以盖没种子为度。幼苗长有5~6片真叶时间苗。点播每穴留苗2~3株;条播13~18cm株距定苗。

在幼苗分蘖和拔节时,结合中耕除草,分别用稀薄人畜粪水追肥;抽穗期再追肥一次。开花期间用2%过磷酸钙液进行根外追肥。生长期中注意水分管理,抽穗前后应勤灌、灌足水。

保持田间有3~5cm水,是高产稳定的关键。病害有黑穗病,主要以种子处理(见前)和轮作;发现病叶、病株及时拔除,集中烧毁。虫害主要有玉米暝,在卵块孵化时用杀暝松50%乳油800~1000倍液喷射。

采集 南方8~9月,北方9~10月,当果实呈褐色大部成熟后,选择晴天割取全株,晒干,并在场院放置3~4天后,用脱壳机或碾子除去外壳后及种皮,去净杂质,收集种仁。药材主产于福建、江苏、河北、辽宁。

鉴别

性状 种仁呈广卵形或椭圆形,长4~8mm,宽3~6mm,顶端钝圆,基部略宽而微凹,内有棕黑色半环状痕及淡棕色点状种脐。

表面乳白色,平滑,偶有残留的淡棕色种皮;背面圆凸,腹面有一纵沟,宽约2mm,沟内常留有浅棕色种皮。质坚硬,断面平坦,富粉质。

气微,味淡,微甜。

以粒大充实,色白,身干,无破碎者为佳。

显微 粉末黄白色: ❶ 淀粉粒极多,聚集成团,为粉末主体。单粒圆多角形、类球形或卵形,直径2~20μm,脐点三叉状、人字状、星状或短缝状,层纹不明显,复粒少见,由2~3分粒组成。

淀粉粒遇碘液显橙黄色,少数颗粒显蓝紫色。
❷ 内胚乳细胞无色。

呈类多角形,壁菲薄,稍弯曲,腹腔内充满淀粉粒。
❸ 果皮表皮细胞黄棕色。

狭长,壁薄,垂周壁微波状弯曲。
❹ 果皮中层细胞黄棕色。

呈不规则长方形,稍弯曲,壁菲薄,有不规则形细胞间隙,似海绵组织状。(图见徐国钧等《中药材粉末显微鉴定》.583页.图285)

加工炮制 炒苡仁 取薏苡仁,大小分开,置锅内,用文火加热,炒至黄色鼓起,取出放凉。

麸炒苡仁取麸皮,撒在热锅内,用中火加热至冒烟时,倒入净薏苡仁,炒至表面黄色鼓起时,取出,筛去麸皮,放凉。

每薏苡仁100kg,用麸皮10kg。 土炒苡仁 取伏龙肝细粉置锅内,用文火炒热,放入净薏苡仁,拌炒至挂上色时,取出,筛去土粉,放凉。每薏苡仁100kg,用伏龙肝粉20kg

贮藏 置通风干燥处,防蛀。

。【化学】:

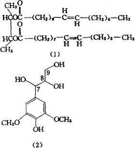
薏苡仁含薏苡仁酯(Coixenolide)(1)[1~3],含量约为0.25%[4],薏苡多糖(Coixan)A、B、C[5],酸性多糖CA-1、CA-2、中性葡聚糖1~7、水溶性多糖[6,7],阿魏酰豆甾醇(Feruloyl stigmasterol)、阿魏酰菜子甾醇(Feruloyl campesterol)[8],软脂酸、硬脂酸、油酸、亚麻酸[9],少量二酰二醇的脂类[10],脂类化合物[11~13],蛋白质、氨基酸、脂肪、碳水化合物、钙、磷、镁、铁、锌、锰等元素[14,15],维生素B1、B2[16]

此外,有文献认为薏苡种子中几乎不含薏苡素(薏苡内酯,Coixol,6-Methyl-2-benzoxazolinone),而在根及茎中存在;又有人认为薏苡仁酯(coixenolide)是某种菌污染后,由2,3一丁二醇和脂肪酸反应而成,有待实验证实[8]

薏苡根(日本栽培品)中含有苏式,赤式-7,8-二羟基二氢香甙元(threo,erythro-1-C-Syringylglycerol)*(2);木脂素类化合物:4-酮松脂醇(4-Ketopinoresinol)[17];薏苡素及多种苯并噁嗪酮类(Benzoxazinones)化合物及其甙[18]

注:有的文献[15,19,20]命名为“苏式、赤式-1-C-丁香甘油”,且列于薏苡仁成分下。

参考文献 [1] 江苏省植物研究所等.新华本草纲要.第3册.上海科学技术出版社,1990∶504 [2] 南京药学院.中草药学.下册.江苏科学技术出版社,1980∶1220 [3] Chem Pharm Bull 1961;9(1)∶43 [4] CA 1977;87∶130483, [5] Planta Med 1986;(1)∶64 [6] Phytochemistry 1987;26(12)∶3269 [7] Phytochem istry 1986;25(1)∶129 [8] 国外医学中医中药分册 1989;11(3)∶147 [9] Phytochemistry 1972,11(3)∶1192 [10] CA 1994;86∶144495g [11] CA 1985;103∶119997r [12] CA 1987;107∶235135g [13] Agric Biol Chem 1985;49(7)∶1985 [14] 中国医学科学院劳动环境营养卫生研究所.食物成分表.人民卫生出版社,1996∶8 [15] 中成药 1990;12(12)∶38 [16] 天然产物研究与开发 1996;8(1)∶54 [17] Phytochemistry 1989,28(3)∶54 [18] phytochemistry 1985,24(12)∶2959 [19] 阴健.现代中药研究与临床应用(2).北京古籍出版社,1996∶388 [20] 黄泰康.常用中药成分与药理手册.中国医药科技出版社,1994∶1823

【药理】:

❶ 对横纹肌及运动神经末梢的作用 石油醚浸出的薏苡仁油对蛙的横纹肌及运动神经末梢低浓度呈兴奋,高浓度呈麻痹,其作用点不在神经干而在肌肉部分[1,2]

C数在10~18的饱和脂肪酸皆能阻止或降低横纹肌之收缩作用,而不饱和脂肪酸则无此作用[3]。薏苡素也有抑制横纹肌作用,能抑制蛙神经肌肉标本的电刺激所引起的收缩反应及大鼠隔肌的氧摄取的无氧糖酵解,并能抑制肌动球蛋白一三磷酸苷系统的反应[4]
❷ 对中枢神经系统的影响 薏苡仁油对呼吸小剂量兴奋,大剂量麻痹,薏苡素对小鼠以100mg/kg iv,能减少其自发活动,给兔iv20mg/kg使脑电图出现高幅慢波;给大鼠ip 50~100mg/kg能降低正常体温,对大鼠实验性发热有解热作用;100mg/kg ip对小鼠(电刺激法)与大鼠(辐射热法)均有明显的镇痛效果[4]

薏苡根或茎叶水提物也有镇痛作用[4]

❸ 对心血管系统的作用 薏苡仁油低浓度兴奋离体蛙与豚鼠心脏,收缩离体兔耳血管,高浓度则抑制心脏,扩张兔耳血管[5]。薏苡素能抑制离体蟾蜍心脏,使其收缩振幅降低、频率变慢,给兔iv可引起血压短暂下降。
❹ 抗癌作用 薏苡仁醇提物、丙酮提物ip能明显延长艾氏腹长癌小鼠的生存时间[6]。丙酮提取物对小鼠子宫颈癌-14(u14)与HCA实体瘤也有明显的抑制作用[7],其抗癌成分为薏苡仁酯[8]。甲醇提取物1~10μg/ml能强烈地抑制EB病毒早期抗原(EBV-EA)的活化,其有效成分为“单甘油酯”(Monoglyceride)和“α-单甘油精”(α-Monolinolein);甲醇提取物和“α-单甘油精”在体内也有抗促癌作用[9]
❺ 其他作用 薏苡仁油小剂量兴奋离体兔小肠,大剂量先兴奋后抑制[5]。薏苡素对在位与离体小肠均有抑制作用[4]。薏苡仁油及薏苡素对兔有轻度降血糖作用[3,4]

体外试验,薏苡全草(鲜品)榨汁或根部(干品)煎剂对金黄色葡萄球菌,乙型溶血性链球菌、炭疽杆菌、白喉杆菌有一定的抗菌作用[10]

毒性 薏苡仁油给小鼠sc致死量为5~10g/kg、兔iv致死量为1~1.5g/kg[11]

参考文献 [1] 医学中央杂志(日)1927;25∶723 [2] 药学研究 1954;26(11)∶755 [3] 药学杂志 1959;79(11)1412 [4] 药学杂志 1960;80(8)∶1118 [5] 医学中央杂志(日)1928;26∶197 [6] 日本外科学会杂志 1960;61(2)∶234 [7] 中医药研究参考 1974;(4)∶43 [8] Chem Pharm Bull 1961;9(1)∶43 [9] Planta Med 1990;56∶653 [10] 湖南医药杂志 1974;(5)∶49 [11] 江苏新医学院编.中药大辞典.下册,上海人民出版社,1977∶2646

。【药性】:

性味 甘、淡,凉。

❶ 《本经》:“味甘,微寒。”
❷ 《食疗本草》:“性平。”
❸ 《本草正》:“味甘、淡,气微凉。”

归经 入脾、肺、肾经。

❶ 《纲目》:“阳明。”
❷ 《雷公炮制药性解》:“入肺、脾、肝、胃、大肠。”
❸ 《本草新编》:“入脾、肾二经。”

功效 健脾。

补肺,清热,利湿,止泻,排脓。

主治 泄泻,湿痹,筋脉拘挛,屈伸不利,水肿,脚气。

肺瘘,肺痈。肠痈,淋浊,白带。

❶ 《本经》:“主筋急拘挛,不可屈伸,风湿痹,下气。”
❷ 《别录》:“除筋骨邪气不仁,利肠胃,消水肿,令人能食。”
❸ 《药性论》:“主肺痿,肺气,吐脓血,咳嗽涕唾上气。煎服之破五溪毒肿。”
❹ 《食疗本草》:“去干湿脚气。”
❺ 《本草拾遗》:“温气,主消渴。”“杀蛔虫。”
❻ 《纲目》:“炊饭食,治冷气;煎饮,利小便热淋。”
❼ 《医学入门》:“主上气,心胸甲错。”
❽ 《国药的药理学》:“治胃中积水。”
❾ 《中国药用植物图鉴》:“治肺水肿,湿性肋膜炎,排尿障碍,慢性胃肠病,慢性溃疡。”
❿ 《全国中草药汇编》:“肺脓疡,阑尾炎,慢性肠炎,腹泻,四肢酸重,白带过多,胃癌,子宫颈癌,绒毛膜上皮癌。”

用法用量 内服:煎汤,9~30g,或入散剂。

使用注意 脾约便难及妊娠慎服。

❶ 《本草经疏》:“凡病大便燥,小水短少,因塞转筋,脾虚无湿者忌之。妊娠禁用。


❷ 《本草通玄》:“下利虚而下隔者,非其宜也。”

【临床应用】:

配伍应用 ❶ 配麻黄、杏仁、甘草,治风湿痹痛。

❷ 配郁李仁,治水肿喘急。
❸ 配附子、炙甘草,治胸痹。
❹ 配桔梗,治牙齿慝痛。
❺ 配牡丹皮、桃仁,治肠痈。

❻ 配附子、败酱草,治肠痈已成脓。
❼ 配粳米,治久风湿痹。

方选和验方 ❶ 薏苡附子败酱散(《金匮要略》)治肠痈已成脓,身无热,肌肤甲错,腹皮急,按之濡,如肿状、脉数;薏苡仁10份,附子2份,败酱草5份。上3味,杵为末、取2g,以水200ml,煎减半,顿服,小便当下。

❷ 麻黄杏仁薏苡甘草汤(《金匮要略》)治风湿在表,一身尽疼,发热,日哺所剧:麻黄(去节,汤泡)2g,炙甘草6g,薏苡仁15g,杏仁(去皮尖,炒)10个。上锉麻豆大,每服12g,水300ml,煮八分,去渣温服,有微汗避风。
❸ 薏苡仁汤(《证治准绳》)治肠痈,腹中疼痛,烦躁不安,或满不食,小便涩滞:薏苡仁、瓜蒌仁各9g,牡丹皮、桃仁各6g。水煎服。

❹ 薏苡仁散(《备急千金要方》)治痈肿令自溃长肉:薏苡仁、桂心、白蔹、当归、苁蓉、干姜各60g。研为散,每服2g,温酒调下。

日3次,夜2次。
❺ 薏苡竹叶散(《温病条辨》)治湿郁经脉,身热身痛,汗多自利,胸腹白疹出:薏苡仁、滑石、茯苓各15g,竹叶、连翘各9g,白蔻仁、通草各4.5g。

为细末,每服15g,日3次。
❻ 薏苡仁浸酒(《太平圣惠方》)治风毒流注,腰膝拘急疼痛:薏苡仁、牛膝各90g,防风、独活、生地黄、桂心各60g,当归、川芎、丹参、附子各30g,酸枣仁1g,黑豆75g。研末,盛绢袋中浸清酒2400ml,过七宿后,温饮之。
❼ 《广济方》:“治风湿痹气,肢体痿痹,腰脊酸疼:薏苡仁500g,真桑寄生、当归身、川续断、苍术(米泔水浸炒)各120g。分作16剂,水煎服。”
❽ 《全国中草药汇编》:“治水肿:薏苡仁、赤小豆、冬瓜皮各30g,黄芪、茯苓皮各15g。水煎服。”
❾ 《全国中草药汇编》:“治绒毛膜上皮癌:薏苡仁、鱼腥草、赤小豆各30g,败酱草15g,黄芪、茜草、冬瓜仁、当归、党参、阿胶珠、甘草各9g。腹中有块加蒲黄、五灵脂各9g;阴道出血加贯众炭9g;胸痛加郁金、陈皮各9g;咯血重加白及15g。水煎服。”
❿ 《中药基础知识简编》:“治痹痛湿重证:生苡仁24g,苍术9g,麻黄6g,当归9g,生姜9g,甘草3g。水煎服。” ⑾薏苡仁汤加味(国外医学中医中药分册 1989;(6))治骨科病:每6片含下列生药水提、干燥浸膏1.2g:薏苡仁2g,甘草1g,苍术1g,当归1g,麻黄1g,橘皮0.75g,芍药0.75g,防己0.25g,茯苓0.12g。每次4片,每日3次,饭后服。

⑿自拟薏米汤(江苏中医 1989;(3))治腰腿痛:薏苡仁45~90g,地龙10g,炙甘草6g。水煎服,每日1剂,10天为1疗程,共3个疗程。

⒀薏苡附子败酱散加减(广西中医药 1988;(5))治霉菌性肠炎:薏苡仁、山药、败酱草各30g,党参、白术各20g,茯苓15g,白头翁、黄芩各12g,苦参、木香、当归各9g,制附片6g。每日1剂,水煎服,10天为1疗程。加减:热毒盛者加黄连、黄柏、鱼腥草;阳虚甚者加补骨脂、仙茅、仙灵脾;气滞甚者加槟榔、枳壳、川楝子;阴虚加石斛、玉竹、麦冬;食积加山楂、神曲、谷芽、麦芽。 ⒁薏苡附子败酱散(浙江中医杂志 1987;(12))治卵巢囊肿:生薏苡仁30~60g,熟附片5~10g,败酱草15~30g。

上药清水煎取,3汁和匀,每日分3次温服。药渣加青葱、食盐各30g,加白酒炒热,乘热布色,外熨患处,上加热水袋,使药气透入腹内。

每次熨0.5~1小时,每日2次。

加减:如热象显著,口干便结者,附子减半量,加红藤30g,蒲公英、紫地丁各15g,制大黄10g(后下);发热者,加柴胡、黄芩各10g;口粘苔腻,脘闷纳呆,腹胀便溏,湿邪偏盛者,加上茯苓30g,泽兰、泽泻、苍术各10g,虎杖20g;血瘀重者,加制莪术、三棱、失笑散各12g;夹痰者,加制南星10g,海藻15g,生牡蛎30g;色块坚硬者,加炮山甲、王不留行各10g,水蛭5g,炙蜈蚣2条。

⒂薏苡附子败酱散(北京中医 1987;(5))治肠痈;薏苡仁100g,炮附子30g,败酱草30g,以水1000ml,先煮附子30分钟,再下薏苡、败酱草,煎约500ml,过滤,再加水500ml,煎至300ml,过滤,三煎加水500ml,煎至200ml,过滤,三次药液兑于一起混匀。每次服200ml,间歇2小时服1次。加减:若脉数便干,加大黄15g(后下);外有发热者,加银花30g(后下);腹痛甚者加白芍30g。 ⒃瓜蒌薏仁汤(北京中医 1987;(3))治胃痛:瓜蒌18g,薏苡仁5g,桃仁10g,丹皮10g,白芍12g,元胡粉6g。

每日1剂,日2次,水煎服。 ⒄苡仁赤豆汤(广州中医学院学报 1986;(1))治丘疹性荨麻疹:苡仁50g,赤小豆50g,大枣15个,红糖30g,每日1剂,水煎服,连服3剂为1疗程。加减:痒甚者加勾藤、防己、蛇床子;水疮较重者加苍术;有脓疱者外涂龙胆紫或用苦参、野菊花、蛇床子煎水外洗。 ⒅薏苡竹叶散(吉林中医药 1985;(1))治潮热:薏苡5g,竹叶3g,滑石5g,白蔻仁5g,连翘5g,茯苓5g,通草2g。

水煎服。

单方应用 ❶ 《杨氏经验方》:“治沙石热淋,痛不可忍:用玉秫,即薏苡仁也(子、叶、根皆可用),水煎热饮,夏月冷饮,以通为度。”
❷ 《济生方》:“治肺痈咯血:薏苡仁4.5g,捣烂,水400ml,煎200ml,入酒少许,分2服。”
❸ 《梅师集验方》:“治肺痿咳唾脓血:薏苡仁,杵破,水60ml,煎200ml,加酒少许,服之。”
❹ 《妇人良方补遗》:“治孕中有痈:薏苡仁煮汁,频频饮之。”
❺ 《食物药用指南》:“治胃癌、子宫癌:薏米30g,野菱60~90g,浓煎去渣,每日2次分服。30天为1疗程,配合药物治疗。”
❻ 《食物药用指南》:“治腹泻,食欲不振:薏米、莲实(去皮、芯)各30g,冰糖少许。先将薏米加水煮至半熟,再加莲实、冰糖,文火煮熟透,食用。

每日1~2次。”
❼ 中医杂志 1987;(1):“治坐骨结节滑囊炎:生薏苡仁60g,加水300ml,煎至200ml,分2次口服。”
❽ 湖南中医杂志 1987;(1):“治扁平疣:薏苡仁50g,煮熟后加白糖少许,将薏苡仁与水同时服下,每日1剂,儿童酌情减量。”

食疗 ❶ 《食物药用指南》:“治白带过多:薏米60g,芡实90g,大米适量。煮粥,常食。”
❷ 《食物药用指南》:“治风湿性关性炎,脚气水肿:薏米50g,粳米100~150g,煮粥,食用,每日1~2次。”
❸ 《中华药膳宝典》:“治血热或热毒紫斑:苡仁30g,绿豆50g。加水煮成粥,1日食用3~4次。”
❹ 《纲目》:“治消渴饮水:薏苡仁煮粥饮,并煮粥食之。”
❺ 《独行方》:“治水肿喘急:用郁李仁60g,研,以水滤汁,煮薏苡仁饭,日2次食之。”
❻ 《药膳与健康》:“消化道癌肿:将莲肉、粳米、薏苡仁备125g,炒熟研粉,茯苓50g研粉,一起拌和,加入砂糖和适量水拌和做成糕,略蒸切开食用,每次可服50g左右,日服1~2次作点心。

。【医药家论述】:

❶ 苏颂:“薏苡仁心肺之药多用之。故范汪治肺痈,张仲景治风湿胸痹,并有方法。《济生方》治肺损咯血,以熟猪肺切蘸薏苡仁末,空心食之,薏苡补肺,猪肺引经也,赵君猷言屡用有效。


❷ 寇宗奭《本草衍义》:“薏苡仁《本草》云微寒,主筋急拘挛。拘挛有两等:《素问》注中,大筋受热,则缩而短,故挛急不伸,此是因热而拘挛也,故可用薏苡仁。

若《素问》言因寒则筋急者,不可更用此也。凡用之,须倍于他药。

此物力势和缓,须倍加用即见效。盖受寒即能使人盘急,受热故使人筋挛。

若但受热而不曾受寒,亦能使人筋缓,受湿则又引长无力也。”
❸ 朱震亨:“寒则筋急,热则筋缩,急因于坚强,缩因于短促,若受湿则弛,弛则引长。然寒与湿未尝不夹热,三者皆因于湿,然外湿非内湿岂之不能成病。故湿之为病,因酒而鱼肉继之,甘滑陈久烧炙并辛香,皆致湿之因也。


❹ 李时珍《纲目》:“薏苡仁属土,阳明药也,故能健脾益胃。虚则补其母,故肺痿肺痈用之。筋骨之病,以治阳明为本,故拘挛筋急风痹者用之。土能胜水除湿,故泄痢水肿用之。

按古方小续命汤注云:中风筋骨拘挛,语迟脉弦者,加薏苡仁,亦扶脾抑肝之义。又《后汉书》云,马援在交趾,尝饵薏苡实,云能轻身省欲,以胜瘴气也。又张师正《倦游录》云,辛稼轩忽患疝疾,重坠大如杯,一道人教以薏珠用东壁黄土炒过,水煮为膏服,数服即消。程沙随病此,稼轩授之,亦效。


❺ 缪希雍《本草经疏》:“薏苡仁性燥能去除湿,味甘能入脾补脾,兼淡能渗泄,故主筋急拘挛不可屈伸及湿痹,除筋骨邪气不仁,利肠胃,消水肿,令人能食。总之,湿邪去则脾胃安,脾胃安则中焦治,中焦治则能荣养乎四肢,而通利乎血脉也。甘以益脾,燥以除湿,脾实则肿消,脾强则能食,如是,则已上诸疾不求其愈而自愈矣。”
❻ 张景岳《本草正》:“薏苡味甘淡,气微凉,性微降而渗,故能去湿利水,以其去湿,故能利关节,除脚气,治痿弱拘挛湿痹,消水肿疼痛,利小便热淋,亦杀蛔虫。”
❼ 刘若金《本草述》:“薏苡仁除湿而不如二术助燥,清热而不如芩、连辈,损阴,益气而不如参、术辈犹滋湿热,诚为益中气要药。然其味淡,其力缓,如不合群以济,厚集以投,冀其奏的然之效也能乎哉?”
❽ 陈士铎《本草新编》:“薏仁最善利水,不至损耗真阴之气,凡湿盛在下身者,最宜用之,视病之轻重,准用药之多寡,则阴阳不伤,而湿病易去。故凡遇水湿之症,用薏仁一、二两为君,而佐之健脾去湿之味,未有不速于奏效者也,倘薄其气味之平和而轻用之,无益也。”
❾ 贾所学《药品化义》:“薏米味甘气和,清中浊品,能健脾阴,大益肠胃。主治脾虚泄泻,致成水肿,风湿筋缓,致成手足无力,不能屈伸。盖因湿胜则土败,土胜则气复,肿自消而力自生。

取其入肺,滋养化源,用治上焦消渴,肺痈肠痈。又取其味厚沉下,培植下部,用治脚气肿痛,肠红崩漏。若咳血久而食少者,假以气和力缓,倍用无不效。

随便看

 

离鸟网收录3541549条中英文词条,其功能与新华字典、现代汉语词典、牛津高阶英汉词典等各类中英文词典类似,基本涵盖了全部常用中英文字词句的读音、释义及用法,是语言学习和写作的有利工具。

 

Copyright © 2004-2024 vtrois.com All Rights Reserved
更新时间:2026/4/9 7:41:05