网站首页  词典首页


请输入您要查询的字词:

 

字词 藤黄
类别 中英文字词句释义及详细解析
释义 藤黄

【概况】:

异名 玉黄、月黄(《中药大辞典》)。

基源 为藤黄科藤黄属植物藤黄和印支藤黄的胶质树脂。

原植物 藤黄Garcinia morella Desr.(G.indica Chois)和印支藤黄G.hanburyi Hook.f.

历史 本品始载于《海药本草》,列于木部。李时珍列入《纲目》草部,并曰:所用之藤黄,皆经煎炼成者,舐之麻人,乃树脂也……,番人以刀斫树枝滴下,次年收之。所述即为进口的藤黄无疑。

形态 常绿乔木,高约18m。小枝四棱形。叶对生,叶柄长8mm;叶片薄革质,椭圆状卵形或卵状披针形,长10~15cm,先端钝,基部楔形,全缘。花单性,无柄,黄色;雄花2~3簇生叶腋,花萼与花瓣均4片,圆形,雄蕊多数,集合成一近球状肉质体,花药1室,横裂,花丝短:雌花单生,较大,具退化雄蕊12枚,基部合生,子房4室,无毛,柱头盾形。

浆果近球形,直径约2cm。

种子4枚。花期11月,果期翌年2~3月。(图见《中药大辞典》.下册.2695页.5655条图)

生境与分布 生于热带地区,中国不产,广东和广西有少量栽培。

分布于印度和泰国。

印支藤黄与藤黄的区别在于:叶柄长7~18mm;雌花1~3簇生,花梗长10~12mm,雄蕊集合成2~3束。(图见《印度支那植物志》.第3册.312页.图30∶1~3)。分布于越南、柬埔寨,泰国和老挝。

。【生药】:

采集 在开花前,于离地约3m处将茎干的皮部作螺旋状的割伤,伤口内插一竹筒,盛受流出的树脂,加热蒸干,用刀刮下,即为藤黄。

又名玉黄、月黄。药材产于印度及泰国。

鉴别 本品为管状或不规则的块状物,直径3~5cm,显红黄色或橙棕色,外被黄绿色粉霜,有纵条纹。

质脆易碎,断面平滑,呈贝壳状或有空腔,具黄褐色而带蜡样的光泽,用水研和则呈黄色乳剂,投入火中则燃烧。

气微,味辛辣。以半透明、红黄色者为佳,黑色者次之。

加工炮制 制藤黄,取豆腐一块置盘中,中间挖一不透底的槽,放入藤黄,再用豆腐盖严,置笼中,蒸至藤黄溶化,取出放凉,待凝固后,取出藤黄,晾干。每藤黄100kg,用豆腐400~500kg。

贮藏 置阴凉干燥处,防潮。

。【化学】:

藤黄属植物分布越南、泰国、印度等热带地区,中国广东海南一带有引种;多含呫吨酮类(Xanthones)及双黄酮类化合物。

如印支藤黄树(Garcinia hanburgi Hook.f.)及桑藤黄树(G.morella Desr.)的树干,经割伤后流出的树脂,干燥后商品称为藤黄(Gamboge)。中药“藤黄”中树脂占70%~80%,树胶占15%~25%;除药用外,常作为绘画黄色画料[1]

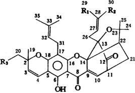
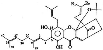
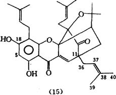
藤黄中的呫吨酮类化合物多有抗Hela及HEL细胞毒活性;其中主成分为藤黄酸(Gambogic acid,α-Gambogic acid,β-Guttiferin)(1)、其余有异桑藤黄素(Isomorellin)(2)、桑藤黄酸(morellic acid)(3)、Desoxymorellin(4)、藤黄精(Gambogin)(5)、Morellin dimethyl acetal(6)、Isomoreollin B(7)、Moreollic acid(8)、Gambogenic acid(9)、藤黄精宁(Gambogenin)(10)、Isogambogenin(11)、Desoxygambogenin(12)、Gambogenin dimethyl acetal(13)、Gambogic acid(14)、Hanburin(15)[2,3]

又曾得到新藤黄酸(Neogambogic acid),即3,4二氢藤黄酸[4,5]

桑藤黄(G.morella)树脂中有Morellic acid、Isomorellic acid、Desoxymorellin、Morellinol等[1]

R1 R2 R3

(1) CO2H Me prenyl*

(2) Me CHO H

(3) CO2H Me H

(4) Me Me H

(5) Me Me prenyl

(6) CH(OMe)2 Me H

R1 R2

(9) CO2H Me

(10) CHO Me

(11) Me CHO

(12) Me Me

(13) CH(OMe)2 Me

附:桑藤黄(G.morella)的假种皮含有Morellin、Neo-morellin、Dihydroisomorellin[1];其种子含有三甘油酯(Triglycerides)、半乳糖甘油酯、磷脂等[6];果皮中含Garcinol、Isogarcinol、l-羟基柠檬酸(l-Hyclroxycitric acid)、矢车菊素-3葡萄糖甙(Cyanidin-3-glucoside)、Cyanidin-sambubioside;[7,8,9]其心材部分含有1,7-二羟基呫吨酮(1,7-Dihydroxyxanthone)、藤黄双黄酮、Morelloflaveone及Volkensiflavone[10]

参考文献 [1] 南京药学院.中草药学(中).江苏人民出版社,1997∶664 [2] Phytochcmistry 1996;41(3)∶815 [3] Magnetic Resonance Chem 1993;31∶340 [4] 药学学服 1984;19(8)∶637 [5] 中草药 1988;19(7)∶298 [6] CA 1992;116∶104768 [7] Tetrahedron Lett 1981;22(8)∶793 [8] CA 1982;97∶88720w [9] CA 1985;108∶203463z [10] Phytochemistry 1997;16(1)∶148

【药理】:

❶ 抗菌 藤黄(Garcinia morella Desr.)水溶液10-7g/ml浓度,于试管内对SM44-RK7有抑制作用,认为对疱疹病毒Ⅰ型有直接抑制作用[1]

桑藤黄醛(Morellin)有抗菌作用,1∶10,000浓度,于pH7.2时对牛草分枝杆菌及Micrococus pyogenes var aurea有抑制作用,对大肠杆菌无抗菌作用[2,3]。印支藤黄(Garcinia henburyi Hook.f.)0.2~0.8mg/5ml浓度,于试管内对金黄色葡萄球菌、八叠球菌及枯草杆菌有抑制作用,对绿脓杆菌、大肠杆菌、伤寒杆菌及福氏痢疾杆菌无效[4]
❷ 抗原虫 桑藤黄醛(Morellin)、异桑藤黄醛(1somorellin)、新桑藤黄醛(Neomorellin)及异新桑藤黄醛(Isoneomorellin)均有抗原虫作用,异桑藤黄醛及异新桑藤黄醛的抗原虫作用较桑藤黄醛及新桑藤黄醛更为有效[[5]

藤黄素(Guttiferins)体外试验,对非致病性原虫有抑制作用[6]
❸ 抗癌 藤黄提取液16μg/ml可使人体肝癌细胞受到轻度损伤,80、100μg/ml浓度时,可使其严重损伤,几乎全部崩溃[7]。藤黄3.125μg/2ml、5μg/2ml分别对人体肝癌细胞及HeLa细胞有抑制作用,还可使S180细胞表面微绒毛减少,甚至消失,粗面内质网明显减少,线粒体胀大,皱褶,甚至破裂,使ARA4细胞分裂指数降低[8]

藤黄酸(Gambogicacid)1.8,3μg/ml浓度,对HeLa细胞有抑制作用,6μg/ml时则有明显杀伤作用,藤黄酸15mg/kg ip,对小鼠腹水型肝癌也有抑制作用,采用流式细胞光度术及早熟染色体凝集细胞周期分析方法研究,证明藤黄酸对HeLa细胞及小鼠腹水型肝癌细胞的抑制作用,主要是使细胞周期各时相运转速度减慢,尤其是G2期向M期移行过缓造成的[9]。用流式细胞光度术测定藤黄酸对HeLa细胞的影响,从所测定的DNA分布图中发现藤黄酸可导致HeLa细胞周期各时相细胞数目发生变化,G1期,S期和M期细胞减少,G2期细胞增加,说明该药物可抑制G2期细胞向M期移行[10]。藤黄酸0.08mg/只ip,连续7d,对小鼠EAC及S180腹水型有抑制作用,ig则无效[11]

藤黄乙醇提取物0.08mg/只ip,连续7d,对小鼠网状细胞肉瘤腹水型具抗肿瘤活性,其作用类似于烃化剂,属于周期非特异性药物[12]

藤黄酸5μg/ml浓度,对SMMC-7721人体肝癌细胞8h即生长抑制,24h抑制率达60%左右,48h达80%;20μg/ml作用8h,细胞严重损害,作用4h,则细胞全部崩溃;别藤黄酸(Allogambogic acid)60μg/ml浓度,48h可抑制人体肝癌细胞,72h抑制率为70%左右[13]
❹ 对离体兔十二指肠肌的作用 藤黄25μg/ml的剂量时肠肌的张力与频率升到高峰,150μg/ml时肠肌的收缩活动完全停止,经冲洗3次休息半小时,肠肌的收缩活动都不能恢复[4]

毒性 藤黄ig,小鼠的LD50为1125mg/kg[4]。藤黄针剂ip,小鼠的LD50为33mg/kg[8]。β-及α1-藤黄素(β-及α1-guffiferins)在超过治疗量时,可引起小鼠腹泻[14]

参考文献 [1] 中华皮肤科杂志 1984;17(1)∶18 [2] CA 1953;47∶8833a [3] CA 1955;49∶1739i [4] 中药材科技 1982;(3)∶32 [5] CA1966;64∶20197g [6] CA 1963;59∶15780b [7] 江西医药 1980;(3)∶1 [8] 江西医药 1982;(3)∶1 [9] 江西医药 1984;(5)∶1 [10] 中药通报 1986;11(10)∶627 [11] 江西医学院学报 1980;(1)∶17 [12] 江西医学院学报 1984;(1)∶7 [13] 药学通报 1988;23(2)∶89 [14] CA 1968;69∶94896w

。【药性】:

性味 《海药本草》:“酸、涩。有毒。”

功效 消肿,化毒,止血,杀虫。

主治 痈疽肿毒,顽癣恶疮,损伤出血,牙疳蛀齿,汤火伤。 ❶ 《海药本草》:“主蚛牙蛀齿,点之便落。”
❷ 《纲目拾遗》:“治痈疽,止血化毒,敛金疮,亦能杀虫。”
❸ 《现代实用中药》:“为峻下剂,治绦虫及水肿。”

用法用量 内服:入丸剂。只供配成药用。

一次极量0.5mg。

外用:研末调敷,磨汁涂或熬膏涂。

使用注意 体质虚弱者忌服,多量易引起头昏,呕吐,腹痛,泄泻,甚或致死。

【临床应用】:

方选和验方 ❶ 《外科全生集》:“治跌打损伤,肿毒危重之症:牛黄、冰片各9g,阿魏、雄黄各37g,生大黄、乳香、没药、儿茶、天竺黄、血竭、参三七各75g,各研细末,以山羊血19g,拌,晒干透,再磨为粉。另藤黄75g,隔水煮透,去净浮腻,和前药末,丸、如芡实,晒干(忌火烘),黄蜡为壳,包裹。每用1丸,陈酒送服。”
❷ 《类证活人书》:“治箍毒:五倍子(略焙)37g,藤黄150g,铜青少许,小粉(炒)300g,作锭。用时以醋磨,涂患处。


❸ 一笔消(《祝穆试效方》)治一切痈肿:雄黄、胆矾、硼砂、藤黄、铜绿、皮硝、草乌各37g,麝香7.5g,为细末,和蟾酥为条,如笔管大,金箔为衣。用时以醋磨浓汁,以新笔蘸药,涂肿毒四周,数次。

❹ 风气膏(《王玷桂不药良方》)治一切无名肿毒:藤黄150g,白蜡300g,小磨麻油450g,先将油煎至滴水成珠,加入上两药,搅匀,磁瓶收贮,面上以麻油养。临用摊膏药贴患处。

❺ 五黄散(《纲目拾遗》)治一切顽癣:鸡脚大黄、硫磺、雄黄、姜黄、藤黄各等份,为细末,菜油调涂患处。7日勿洗浴。
❻ 神效膏(《纲目拾遗》)治刀斧木石伤,汤火伤及竹木刺入肉:真麻油600g,藤黄300g,白蜡300g。油先入锅,将藤黄捶碎加入,熬透,麻布滤去渣,加入白蜡,熬至滴水成珠,贮磁罐内。

用时取出,敷患处,即能止血,止痛,收口。
❼ 无回丹(《众妙方》)治一切疔痈脑疽:碱藤黄、雄黄、大黄各37g,蟾酥、麝香各7.5g,血竭、甲片(炒)各20g。和成锭。用时醋磨涂。
❽ 金氏离洞膏(《纲目拾遗》)治臁疮:万应油187g,藤黄56g,净黄蜡75g。共熬至黑棕色,摊贴患处。

(万应油制法:香油2238g,浸桃枝37g,柳枝37g,槐枝37g,桑枝37g,葱37g,男子头发150g,花椒20g,萆麻75g,马钱子150g,荜茇20g,桂枝37g,白芷57g,夏3日冬7日,春秋5日,然后熬至渣枯,去渣。)❾ 藤黄膏(《全国中药成药处方集》)治痈疽肿毒,坚硬疼痛,难溃难消:藤黄、香油各30g,银朱9g,松香120g。先将香油熬开,再入松香熬化和匀,后入藤黄、银朱搅匀成膏,敷贴患处。白疽及已溃破之疮口忌用。
❿ 一笔消(《疮疡证治》)治痈、疽、疖、疔初起:藤黄30g,生大黄60g,明矾、蟾酥各15g,麝香、乳香、没药各6g。各味研为细末,和匀,用蜗牛打烂作锭。

用时米醋调涂患处,每日1~2次。 ⑾江苏中医 1959;(9):“治痈、疽、脓肿:藤黄15g,牛膝、没药各120g,松香1000g。上药同研细末,先取生姜1000g,葱2000g捣汁,放锅内煮沸,再取20只猪胆汁,同上药末同放入和匀,最后加入黄明胶90g,适量凡士林及2%苯甲酸钠,同调成膏外敷,每日换药1次。” ⑿新中医 1981;(3):“治疔疮:藤黄10g,马钱子、龙脑各6g,新鲜猪胆汁100g。马钱子用砂拌炒软,去毛,研成细末,然后将藤黄、龙脑研末,3味同调入猪胆汁中,用棉签将药汁涂在疔疮上。涂药要比红肿的范围大些,每日涂2~3次,重涂时前次涂的药液不必洗掉。 ⒀广西中医药 1985;(4):“治毛囊炎:藤黄15g,苦参10g,75%酒精200ml。同浸泡成酊剂,一般需浸泡7天后外搽于患处。

每日涂2~3次。”

单方应用 消毒方(《救生苦海》)治一切无名肿毒及对口发背:滴花烧酒磨藤黄,敷患处,并用手不住按敷,半日即消。。【医药家论述】:

❶ 张璐:“藤黄性毒而能攻毒,故治牙虫蛀齿,点之即落。毒能损骨,伤肾可知。”
❷ 王子接《得宜本草》:“服藤黄药,忌吃烟,按三黄宝蜡丸,黎峒丸俱用藤黄,以其善解毒也。有中藤黄毒者,食海蜇即解。”
❸ 林祖庚《疮疡证治》:“藤黄为藤黄树汁流出之树脂,中国之国画用作颜料,澄黄鲜亮,久不褪色,中医用作早期疮疡痈疽外用,对初起肿痛未溃者效果甚佳。”

随便看

 

离鸟网收录3541549条中英文词条,其功能与新华字典、现代汉语词典、牛津高阶英汉词典等各类中英文词典类似,基本涵盖了全部常用中英文字词句的读音、释义及用法,是语言学习和写作的有利工具。

 

Copyright © 2004-2024 vtrois.com All Rights Reserved
更新时间:2026/4/8 17:16:06