网站首页  词典首页


请输入您要查询的字词:

 

字词 藿香
类别 中英文字词句释义及详细解析
释义 藿香

【概况】:

异名 土藿香(《滇南本草》),野藿香,苏藿香(四川,贵州,浙江),兜类婆草(北方各省),薄荷,大薄荷,野薄荷,山薄荷(四川,湖北,江西,浙江),香荆芥花(河北),野苏子(辽宁),合香(陕西),青茎薄荷(广西),杏仁花(湖南)。

基源 为唇形科藿香属植物藿香的地上部分。藿香属全世界约9种;中国1种,药用。

原植物 藿香Agastache rugosa(Fisch.et Mey.)O.Ktze.(Lophanthus rugosus Fisch·et Mey·;Elsholtizia monostachya Lévl.et Vaniot;Lophanthus formosanus Hayata),又名紫苏草、水麻叶(四川),青茎薄荷(广西),排香草(《中国药用植物志》)。

历史 今中药材的藿香有广藿香及土藿香,土藿香始于何时未详。

藿香始载于《嘉祐本草》,并引《南州异物志》及《南方草木状》的藿香记载。《本草图经》也载:“岭南郡多有之。”从上述典籍看,均应为今之广藿香。《纲目》已说藿香“叶多伪”。

是否指土藿香亦不得而知。

目前药材市场上所谓的“藿香”多数即指本品。

形态 多年生草本,高可达1m以上,有香气。茎四棱形,略带红色,上部微披柔毛。

叶对生,叶柄长1~4cm,叶片心状卵形至长圆状披针形,长4.5~11cm,宽3~6cm,先端渐尖,基部心形,边缘有不整齐钝锯齿,下面有短柔毛和腺点。轮伞花序聚集成圆筒状总状花序,生于主茎及侧枝的顶上;苞片披针形;花萼筒状,具15条纵脉,5齿裂,齿有缘毛,并有黄色小腺点;花冠蓝紫色,长约8mm,上唇微凹;雄蕊4,2强,伸出花冠管外;花盘圆盘状;子房深4裂,花柱著生于子房底,顶端2裂。

小坚果倒卵形,黑褐色,腹面具棱,顶端有短硬毛。花期6~7月,果期10~11月。(图见《中药志》.第4册.第2版.134页.图130)

生境与分布 生于草坡或路旁林中,野生或栽培。中国各地广泛分布,常见栽培。

。【生药】:

栽培 藿香宜温暖湿润气候,北方作一年生种植。

对土壤要求不严。以肥沃疏松、排水良好而湿润的砂质壤土中栽培。用种子繁殖,在3~4月春播或9~10月秋播。一般采用点播或撒播。点播的株行距27×30cm,深约1cm,将种子拌入细土中匀撒穴内,每亩用种量0.5kg。播后覆薄土,镇压后浇水。

苗高7~10cm时间苗和补苗,每穴留苗2~3株。生长期间,结合中耕除草,追肥2~3次,用人畜粪水或氮素化肥追施。

雨季注意排水。

栽后能连续收获两年。第3年应换地另种。病害斑枯病,可喷65%代森锌可湿性粉剂500倍液;枯萎病,应拔除病株烧毁,并用50%多菌灵可湿性粉剂喷雾或浇灌病穴。

虫害红蜘蛛,用40%乐果乳油2000倍液喷杀;银纹夜蛾,用90%晶体敌百虫1000倍液喷雾。

采集 藿香于夏、秋季枝叶茂盛时或花初开时采割,阴干,或趁鲜切段阴干。藿香主产于四川、江苏、浙江、湖南。

鉴别

性状 藿香地上部分长30~90cm,常对折或切断扎捆成束。

茎方柱形,多分枝,直径0.2~1cm,四角有棱脊,四面平坦或凹入成宽沟状;表面暗绿色,有纵皱纹,稀有毛茸;节明显,常有叶柄脱落的疤痕,节间长3~10cm;老茎坚硬、质脆,易折断,断面白色,髓部中空。叶对生,叶片深绿色,纸质,多皱缩或破碎,完整者展开后呈卵形或三角状长卵形,长2~8cm,宽1~6cm,先端尖或短渐尖,基部圆形或心形,边缘有钝锯齿,叶上表面深绿色,下表面浅绿色,两面微具毛茸。茎顶端有时有穗状轮伞花序,呈土棕色。气芳香,味淡而微凉。

以茎枝色绿、叶多、无杂质残根、具香气者为佳。

显微 藿香粉末棕黄色。

❶ 非腺毛1~4细胞,先端长尖,稍向一侧偏弯,有的(叶)顶端细胞较大,直径12~28μm,长17~303μm,壁厚3~5μm,表面流状突起细密,有的不明显。
❷ 腺鳞大多破碎。

完整者头部扁圆形,4或8细胞,以8细胞为多见,直径63~91μm,内含淡黄色物;柄单细胞,极短。
❸ 小腺毛头部圆形,1~2细胞,直径13~27μm;柄单细胞。
❹ 草酸钙针晶极细小,散在于叶肉、茎表皮细胞偶或石细胞中,长至8μm。

也有呈细胞杆状或梭状,少数片状,直径1~3μm。
❺ 石细胞多单个散在。呈类长椭圆形、类方形或类长方形,边缘不平整,直径15~51μm,壁厚4~11μm,有的胞腔内含细小草酸钙针晶。

❻ 柱鞘纤维大多成束,淡黄色或黄色。长梭形或长条形,末端斜尖或平截,有的边缘波状弯曲,直径10~29μm,壁厚4~12μm,木化,孔沟明显。

❼ 木纤维多成束,淡绿黄色。细长,末端长尖或斜尖,直径10~22μm,壁厚2~8μm,纹孔极细小而稀少,孔沟多不明显。
❽ 茎表皮细胞近无色或淡黄绿色。表面观呈长方形、类方形或长多角形,直径10~22μm,壁稍厚,部分略呈连珠状,胞腔内含细小草酸钙针晶。

❾ 厚角细胞呈长条形,直径12~22μm,壁厚5~10μm,有角质样光泽。(图见徐国钧等《中药材粉末显微鉴定》.第701、735页,图344、361)

贮藏 置阴凉干燥处。

。【化学】:

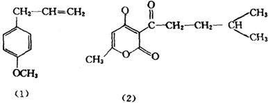
全草含挥发油0.2%~0.5%,油中主为甲基胡椒酚(Methyl chavicol)(1),另含少量苎烯(Liimonene)、α,β-蒎烯(α,β-Pinene)、对伞花烃(PCymene)、芳樟醇(Linalool)、l-丁香烯(l-Caryophyllene)、β-葎草烯(β-Humulene)、γ-杜松烯(γ-Cadinene)、β-榄香烯(β-Elemene)、α衣兰烯(α-Ylangene)、β-金合欢烯(β-Farnesene)、菖蒲烯(Calamenene),茴香醚(Anethole)、茴香醛(Anisaldehyde)、辛酮-3(3-Octanone)、辛醇-3(3-Octanol)、辛烯1-醇-3-(1-Octen-3-o1)等[1]

全草尚有刺槐素(Acacetin)、刺槐素-7-O-β-D葡萄吡喃糖甙(椴甙,Tilianin)、蒙花甙(Linarin)、藿香甙(Agastachoside)、异藿香甙[2,3]。还含有少量鞣质、苦味质等成分[4]

藿香(Agastache rugosa)多以鲜品药用。商品藿香自古多习用广藿香(Pogostemon cablin);中国药典(1995版)的藿香正气水、藿香正气丸亦用广藿香或其挥发油。

广藿香的挥发油成分请参见本书第一卷608页,及文献[1];其挥发油中的抗真菌成分为广藿香酮(Pogostone)(2),广东石牌所产广藿香的茎、叶所得的挥发油含量低,但其中广藿香酮为主,海南所产广藿香茎、叶的挥发油量较多,但广藿香酮甚微[5]广藿香茎、叶中另含5,7,4′-三羟基黄酮(芹素,Apigenin)、3,5,3′,4′-四羟基-7-甲氧基黄酮(鼠李素,Rhamnetin)、3,5,3′-三羟基-7,4′-二甲氧基黄酮(商阹素,Ombuin)、5,4′-二羟基-3,3′,7-三甲氧基黄酮(厚柄花酚,Pachypodol)、芹素-7-O-β-D-(6″-对香豆酰基)葡萄糖甙、芹素-7-O-β-D-葡萄糖甙(Apigetrin)[6]

参考文献 [1] 南京药学院 中草药学(下册)南京,江苏人民出版社,198∶915,940 [2] Khim Prir Soedin,1979;(5)∶642 [3] Chem Pharm Bull,1981;29(6)∶1777 [4] 中华药学杂志,1963;1(4)∶307 [5] 科学通报,1997;27(7)∶318 [6] Chem Pharm Bull 1981;29(1)∶254

【药理】:

❶ 抗真菌作用 试管实验藿香煎剂(8%~15%)对许兰氏毛癣菌等多种致病性真菌有抑制作用[1];藿香乙醚浸出液(3%)及醇浸出液(1%)亦能抑制多种致病性真菌,水浸出液的抗真菌效力与煎剂相似;趾间毛癣菌及足跖毛癣菌在煎剂15%时方出现抑制,而乙醚浸出液于3%、醇浸出液于5%及水浸出液于10%等浓度均呈抑菌作用,因此藿香的浸出液比煎剂抗菌力强[2]

❷ 抗病毒作用 日人从藿香中提出黄酮类物质,证实具有抗病毒作用[3]
❸ 对胆囊的影响 口服藿香煎剂,利用X线胆囊造影术,证明藿香对胆囊无收缩作用[4]

参考文献 [1] 中华皮肤科杂志 1958;(3)∶210 [2] 中华医学杂志 1958;44(8)∶754 [3] 汉方研究(日) 1982;(3)∶30 [4] 山西医学杂志 1963;7(3)∶1

。【药性】:

性味 辛,微温。

❶ 《别录》:“微温。”
❷ 《南方草木状》:“味辛。”
❸ 《珍珠囊》:“甘、苦。”

归经 入肺、脾、胃经。

❶ 《本草再新》:“入心、肝、肺三经。”
❷ 《汤液本草》:“入手、足、太阴经。”

功效 祛暑解表,化湿和胃,辟秽。

主治 感冒暑湿,寒热,头痛,胸脘痞闷,呕吐泄泻,疟疾,痢疾,口臭。

❶ 《别录》:“疗风水毒肿,去恶气,疗霍乱,心痛。”
❷ 《本草图经》:“治脾胃吐逆,为最要之药。”
❸ 《珍珠囊》:“治吐逆霍乱。”
❹ 《本草述》:“治外感寒邪,内伤饮食,或饮食伤冷湿滞,山岚瘴气,不伏水土,寒热作疟等症。”
❹ 《汤液本草》:“肺虚有寒,上焦壅热,饮酒口臭,煎汤漱。”
❺ 《本草再新》:“治呕吐,霍乱,疟,疮疥。梗:可治喉痹,化痰,止咳嗽。”
❻ 《全国中草药汇编》:“外用治手、足癣。”

用法用量 内服:煎汤,5~9g,或入丸散。外用;煎水含漱,或烧存性研末调敷。

使用注意 ❶ 《本经逢原》:“其茎能耗气,用者审之。”
❷ 《本草经疏》:“阴虚火旺,胃弱欲呕及胃热作呕,中焦火盛热极,温病热病,阳明胃家邪实作呕作胀,法并禁用。”

。【临床应用】:

配伍应用 ❶ 配苍术,治脾胃虚寒,气逆嗳腐,脘腹胀满。

❷ 配半夏,治寒湿内阻,气滞呕吐。
❸ 配佩兰,治夏日伤暑,头晕恶心,胸闷腹胀。
❹ 配厚朴、桔梗、陈皮、紫苏,治夏季感冒头痛,呕吐腹泻。

❺ 配香附、甘草、半夏,治妊娠反应,气逆欲呕。

❻ 配丁香、人参、山楂、神曲,治脾胃虚弱,不进饮食,并欲呕吐。
❼ 配紫苏、大腹皮、陈皮、厚朴,治水土不服,时疫呕吐泄泻。

❽ 配白头翁、广木香、黄连,治腹痛泄痢,痢下赤白。
❾ 配仙鹤草、木棉花、广木香、白头翁,治阿米巴痢疾。

❿ 配辛夷、白芷,猪胆汁,治慢性鼻炎,慢性副鼻窦炎。 ⑾配大黄、黄精、胆矾、香醋,外治手足癣及甲癣。 ⑿配神曲、山楂、麦芽、泽泻,治小儿泄泻及慢性肠炎。 ⒀配知母、双花、射干、板蓝根,治慢性咽喉炎,急性扁桃腺炎。

方选和验方 ❶ 大七香丸(《太平惠民和剂局方》)治脾胃虚冷,心膈噎塞,或脾泄泻利,反胃呕吐:香附子75g,麦蘖37g,丁香皮131g,缩砂仁、霍香、官桂、甘草、陈皮各124g,甘松、乌药各24g。共为末,蜜丸,弹子大,每服1丸,盐酒或盐汤送下。

忌生冷肥腻。
❷ 藿香正气散(《太平惠民和剂局方》)治外感风寒,头疼寒热,内停饮食,心腹冷痛,或感暑湿,霍乱泄泻,脚转筋,或山岚瘴症,及产前恶阻,产后血气刺痛:大腹皮、白芷、紫苏、茯苓各37g,半夏曲、白术、陈皮、厚朴(姜汁炙)、桔梗各75g,霍香112g,甘草(炙)94g。

共为细末匀,每服7.5g,姜3片,枣1枚,水煎至七分,趁热服。如欲取汗,覆衣被。

❸ 《百一选方》:“治霍乱吐泻,猝死:藿香叶、陈皮各20g。水200ml煎至100ml,温服。


❹ 《禹讲师经验方》:“治暑月吐泻:滑石(炒)75g,藿香10g,丁香2g。共为末,每服4~8g,米泔调服。”
❺ 泻黄散(《小儿药证直诀》)治小儿脾家郁热,口甜口疮,喜饮烦躁:藿香26g,山栀仁37g,石膏250g,甘草75g,防风124g。同蜜酒炒,为细末,每服7.5g,水200ml,煎清汁饮。

❻ 《圣惠方》:“治妊娠胎气不安,气不升降,呕吐酸水:香附、藿香、甘草各7.5g为末,每服7.5g,入盐少许,沸汤调服。”
❼ 东垣藿香安胃散(《医灯续焰》)治脾胃虚弱,不进饮食,呕吐:藿香10g,丁香、人参各7.5g,橘红2g。为细末匀。

每服7.5g,水200ml,生姜3片同煎至100ml,去滓凉服,食前。

❽ 普贤正气散(《医灯续焰》)治脾伤腰痛,肌肉濡渍,痹而不仁,饮食不化,肠胃胀满,闭坠腰胁:陈皮、半夏、苍术、厚朴、藿香、甘草、生姜各等份为末匀。每服20g水200ml,葱2段,黑豆100粒,煎至160ml,热服,不拘时。

❾ 藿朴夏苓汤(《感证辑要》)治湿温,身热不渴,肢体倦怠,胸闷口腻,舌苔白滑,脉濡缓:藿香6g,厚朴3g,半夏4.5g,赤茯苓9g,杏仁9g,薏苡仁12g,白蔻仁2g,猪苓4.5g,豆豉9g,泽泻4.5g水煎服。
❿ 《包会应验方》:“治冷露疮烂:藿香叶、细茶等份烧灰,油调,涂叶上贴患处。” ⑾《滇南本草》:“治小儿牙疳,溃烂出脓血,口臭,嘴肿:土藿香入枯矾少许为末,搽患处牙根上。” ⑿《滇南本草》:“治刀伤流血:土藿香、龙骨各少许为末。敷患处。” ⒀《全国中草药汇编》:“治头痛发热,胸腹胀痛,呕吐泄泻:藿香、白术、茯苓、大腹皮各9g,陈皮、杜梗、紫苏、甘草、半夏、厚朴、白芷各6g。水煎去渣,分2次服,每日1剂。” ⒁《全国中草药汇编》:“治单纯性肾炎:藿香、佩兰、半夏、黄芩各9g,陈皮6g,制川朴4g。水煎服。” ⒂《全国中草药汇编》:“治无黄疸型肝炎:藿香、苍术、制香附、郁金各9g,板蓝根、蒲公英各15g,厚朴、陈皮各6g。水煎服,每日1剂。” ⒃《全国中草药汇编》:“治手、足癣:藿香30g,黄精、大黄、皂矾各12g。同浸于米醋1000ml中7~8天,去渣,将患部浸入药液中浸泡,以全部浸入为度。每次30分钟,每日2~3次。

” ⒄正气丸(《全国中药成药处方集》)治伤食,感冒,霍乱,水土不服,时疫呕吐:藿香、紫苏、大腹皮、茯苓、白术(土炒)、白芷各90g,桔梗、厚朴(姜制)、陈皮、大枣(去皮核)各60g,制半夏、炙甘草各30g。同研为细末,炼蜜为丸。每丸重7g。每服1丸,每日服3次,姜汤下。

⒅六合定中丸(《全国中药成药处方集》)治中暑感寒,吐泻腹痛:藿香、紫苏叶、香薷、扁豆花各250g,木香、檀香各560g,茯苓、枳壳、桔梗、木瓜、橘皮、山楂(炒)、厚朴、甘草各750g,麦芽(炒)、谷芽(炒)、六神曲(炒)各2500g。同研为末,炼蜜为丸,每丸重9g,硃砂为丸。

每次服2丸,日服2次,姜汤下或开水下。 ⒆金衣祛暑丸(《全国中药成药处方集》)治中暑中湿,头痛恶寒,噁心呕吐,腹胀泄泻:藿香、苏叶各1000g,木瓜350g,茯苓1500g,檀香、丁香各150g,香薷400g,甘草700g。

同研为细末,炼蜜为丸,每丸重6g。金衣、硃砂为衣。

每服1~2丸,日2服,姜汤下。 ⒇藿香散(《全国中药成药处方集》)治时令感冒,食积呕吐:藿香、苏叶、白芷、神曲、广槟榔、茯苓各180g,苍术、陈皮、制半夏、厚朴、桔梗各120g,甘草60g。

为末,每服8g,幼童减半,开水送服。

每日服2次。 (21)温胃止呕汤(《癌的扶正培本治疗》)治胃癌晚期呕吐及化疗期间消化道反应出现呕吐:藿香、制半夏、陈皮、党参各9g,柿蒂6枚,生姜6片,丁香、甘草各3g。水煎服。

每日1剂。 (22)新医药杂志 1977;(6):“治痢疾:藿香18g,白头翁30g,广木香15g。水煎服,每日1剂,重者可每日服2剂,分2~3次服。” (23)福建中医药 1983;(1):“治阿米巴痢疾:仙鹤草20g,藿香、木棉花、广木香、川朴花、马蹄金、炒山药、神曲、白头翁各10g,生甘草3g。水煎服,每日1剂,10天为一疗程。” (24)人民军医 1960;(11):“治呕吐:藿香12g,紫苏10g,生姜15g。水煎服,每日1剂。” (25)上海中医药杂志 1963;(11):“治急性腹泻:藿香、陈皮、车前子、赤茯苓、台乌药、焦山楂、焦六曲、苍术各9g,枳壳、厚朴、煨木香、大砂仁各3g,煨姜3片。水煎服,每日1剂。

” (26)中医杂志 1963;(7):“治斑秃:藿香、蔓荆子、防风、荆芥、菊花、艾叶各9g,薄荷、甘松各6g。同装入布袋,煎水,洗头,早晚各洗1次,每剂可洗3~5天。洗前药水加热。

” (27)湖南医药杂志 1976;(4):“治急慢性副鼻窦炎:藿香300g,谷精草30g,辛夷15g,猪胆(取汁)10只。诸药研末,与猪胆汁拌匀,烘干,研末,炼蜜为丸。

每次服9g,日服2次,开水下。

” (28)天津医药杂志 1964;(8):“治小儿肠炎:神曲、山楂、茯苓、陈皮、藿香、麦芽、泽泻、白术各9g,制半夏、苍术、厚朴、甘草各5g。同研为末,均分2包。6个月以内,1日2次,每次半包;7个月至2岁,1日3次,每次半包;2岁以上,1日2~3次,每次1包。

” (29)云南中医杂志 1984;(6):“治口臭:藿香、白芷各12g,木香、粉葛根各10g,公丁香6g。每日1剂,加冷水煎汤,分多次含漱。” (30)中医杂志 1984;(10):“治秋季腹泻:藿香、地榆、寒水石、伏龙肝、赤石脂各9g,丁香1g。配制成合剂45ml。

3~6个月患儿每次服10ml;6个月~1岁,每次服15ml;日服3次。同时要给予补液,纠正脱水。

” (31)中西医结合杂志 1985;(8):“治急性扁桃体炎:生石膏30g,藿香、金银花、知母、滑石、射干、连翘、香薷、荆芥各10g,板蓝根、薄荷各6g,甘草3g,大黄适量。每日服1~2剂,水煎,昼夜频服,可服5~6次。

服药前服米粥1小碗。

” (32)中医杂志 1991;(8):“治盗汗:藿香、青蒿、黄芩各9g,茯苓、山药、苡仁各12g,陈皮6g,甘草、通草各3g。水煎服,每日1剂。” (33)中医杂志 1994;(5):“治手足口病:藿香、枳壳、白芷各10g,连翘、苡仁、滑石各12g,大青叶15g,黄连、薄荷各6g,生甘草3g。水煎200ml,每日1剂。” (34)中医杂志 1994;(4):“治重症妊娠恶阻(痰湿内阻):藿香、陈皮各10g,厚朴、半夏各9g,云苓、炒白术各12g,白扁豆30g,枳壳10g,竹茹6g。水浓煎取汁200ml,少量多次饮服,每日1剂。” (35)渗湿疏导止泻汤(云南中医杂志 1994;(2))治小儿泄泻:藿香5~15g,厚朴10~20g,苍术5~15g,茯苓10~30g,猪苓5~15g,泽泻5~15g,桂枝3~10g,柴胡3~10g,黄芩5~15g,郁金5~15g,鸡内金3~10g,砂仁3~10g,沉香3~10g,甘草10~20g。患儿胃容量小,少量、多次喂服,可日服5~7次。 (36)藿香正气汤(陕西中医 1995:(8)):“治小儿外感发热:藿香、苏叶、白芷、射干、黄连、黄芩各10g,连翘、知母各15g,薄荷6g。水煎服,1日1剂。加减:热重加生石膏;咽红痛加牛蒡子、板蓝根;咳喘加麻黄、杏仁;食滞加槟榔、鸡内金;腹痛加厚朴;腹泻加滑石等。” (37)甘露消毒丹加减(湖南中医杂志 1994;(3))治功能性子宫出血:藿香、白蔻仁各10g,茵陈15g,滑石、木通、黄芩、丹皮、蒲黄、枳壳各10g,鱼腥草30g,薄荷3g,连翘、石菖蒲、五灵脂各10g。水煎服。

(38)藿朴四逆汤(浙江中医杂志 1994;(7))治空调综合征:藿香、厚朴、柴胡、白芍、枳实、甘草。每日1剂,水煎分2次服,一般服用3~7剂。 (39)藿附子汤(福建中医药 1995;(4))治少阴兼太阳证:藿梗5g,淡附5g,淡豉9g(后下),干姜5g,甘草5g。每日1剂,水煎服。

随证加减。” (40)万应药茶(吉林中医药 1997;(2))治春夏之间触冒风寒,畏寒发热、头痛、腹泻之症:藿香、川朴、甘草各1000g,苏叶、半夏、茯苓、槟榔、木瓜、香薷各1500g,防风500g,茅术、白芍、桔梗、神曲各2000g,香片茶叶8000g。各研细末,混匀,每包重12g。每服一包,开水冲泡饮服,每日服2~3次。

(41)七味白术散(江西中医药 1997;(2))治婴幼儿腹泻:藿香、茯苓、白术各7g,葛根、苡仁各10g,人参叶、鸡内金(炒)各5g,甘草3g。水煎服,分2~3次服。

单方应用 《摘玄方》:“去口臭,香口:霍香洗净,煎汤,时时含漱。”

食疗 《千家食疗妙方》:“治暑热头昏胸闷:藿香30g,粳米100g。煮粥服。”。【医药家论述】:

❶ 贾所学《药品化义》:“藿香,其气芳香,善行胃气……有醒脾开胃之功。……有主持正气之力。凡诸气药,独此体轻性温,大能卫气,专养肺胃。但叶属阳,为发生之物,其性锐而香散,不宜多服。”
❷ 张德裕《本草正义》:“藿香,清芬微温,善理中州湿浊痰涎,为醒脾快胃,振动清阳妙品。……芳香能助中州清气,胜湿辟秽,故为暑湿时令要药。然性极和平,力量亦缓,止可以治霍乱轻症。

而猝然大痛,吐泻并作,肢冷脉绝者,非大剂四逆不为功,断非此淡泊和平所能独当大任。”“仲醇谓阴虚火旺,胃弱欲呕及胃热作呕者弗用。按藿香虽不燥烈,然究是以气用事。

惟舌有浊垢,而漾漾欲泛者最佳。若舌燥光滑,津液不布者,咸非所宜。凡芳香行气,醒脾胜湿诸芳草,皆有同情,不仅藿香,木香一类为然也。


❸ 林子崇《医效秘传》):“藿香除湿去浊、辟邪止泻、为暑湿时令所常用,有丽水乡间老医凡春夏时疫、湿热、泄泻证治诸方中皆重用藿香,老医临症多年,亦成良医,其重用藿香亦心得之一也。”

随便看

 

离鸟网收录3541549条中英文词条,其功能与新华字典、现代汉语词典、牛津高阶英汉词典等各类中英文词典类似,基本涵盖了全部常用中英文字词句的读音、释义及用法,是语言学习和写作的有利工具。

 

Copyright © 2004-2024 vtrois.com All Rights Reserved
更新时间:2026/5/25 11:12:21