藿香根
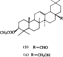
【概况】: 基源 为唇形科藿香属植物藿香的根。 原植物 藿香Agastache rugosa(Fisch.et Mey.)O.Ktze. 余项参见“藿香”条。 【化学】: 藿香根含山楂酸(Maslinic acid)、齐墩果酸(Oleanolie acid)、刺槐素(Acacetin)、刺槐素-7-O-β-D-葡萄吡喃糖甙(椴甙Tilianin)、藿香甙(Agastachoside)、胡萝葡甙(Daucosterol)、β-谷甾醇[1]、去氢藿香酚(Dehydroagastol)(1)[2]、3-()-乙酰基齐墩果酸[3]、3-O-乙酰基齐墩果醛(3-O-Acetyloleanolicaldehyde)(3)、3-乙酰基高根二醇(3-O-Acetylerythrodiol)(4)及一个二萜化合物2,3,4,4a,10,10a六氢-6,8-二羟基-7-(1-羟基-1-甲基乙基)-5-甲氧基-2,4a-二甲基-1-亚甲基-9(1H)-菲酮(2)[2,4,5]。    参考文献 [1] 药学杂志(日) 1972;92(7)∶908 [2] 药学学报 1991;26(12)∶906 [3] SaengyakHakhoeehi,1988;19(2)∶97(CA 1988;109∶226746d) [4] CA 1987;107∶102507r [5] CA 1987;107∶205014g 【药性】: 功效 发表。 主治 霍乱吐泄,血气痛。 用法用量 内服:煎汤,5~9g。 。【临床应用】: 单方应用 《分类草药性》:“治呕吐泄泻:藿香根4~6g。水煎服。” |