网站首页  词典首页


请输入您要查询的字词:

 

字词 蜘蛛抱蛋
类别 中英文字词句释义及详细解析
释义 蜘蛛抱蛋

【概况】:

异名 飞天蜈蚣、哈萨喇(《植物名实图考》、江西南部),入地蜈蚣(广西北流)。

基源 为百合科蜘蛛抱蛋属植物蜘蛛抱蛋的干燥根状茎。蜘蛛抱蛋属全世界约11种;中国约有8种,其中药用的有5种。

原植物 蜘蛛抱蛋Aspidistra elatior Bl.(A.punctata Lindl.var.albo-maculata Hook.)

历史 清代《植物名实图考》始载,云:“蜘蛛抱蛋一名飞天蜈蚣,建昌、南赣皆有之,状如初生棕叶,下细上阔,长至2尺余,粗纹韧质,凌冬不凋;近根结黑色如卵,横根甚长,稠结密须,形如百足,此以其状名之,土医以根治热症,南安土呼哈萨喇,以治腰痛咳嗽。”所说即本种。

形态 多年生草本,根状茎近圆柱形,直径5~10mm,具节和鳞片。叶单生,彼此相距1~3cm,长圆状披针形至近椭圆形,长22~46cm,宽8~11cm,先端渐尖,基部楔形,边缘多少皱波状,两面绿色,有时稍具黄白色斑点或条纹;叶柄明显,粗壮,长5~35cm。总花梗长0.5~2cm,苞片3~4枚,其中2枚位于花的基部,淡绿色,有时有紫色细点;花被针状,长12~18mm,直径10~15mm,外面带紫色或暗紫色,内面下部淡紫色或深紫色,上部(6~)8枚,花被筒长10~12mm;裂片近三角形,向外扩展或外弯,先端钝,边缘和内侧的上部淡绿色,内面具4条特别肥厚肉质的肉质脊状隆起,中间的2条细而长,两侧的2条粗而短,紫红色;雄蕊生于花被筒近基部,低于柱头;雌蕊柱头盾状膨大,圆形,紫红色,上面具(3~)4深裂,裂缝两边多少向上凸出,裂片先端微凹,边缘常向上反卷。(图见《中国高等植物图鉴》.第5册.499页.图7828)

生境与分布 分布于江西南部、福建、广东。

各地也有栽培。

。【生药】:

采集 全年可采挖根,除去混杂,洗净,晒干或鲜用。

【化学】:

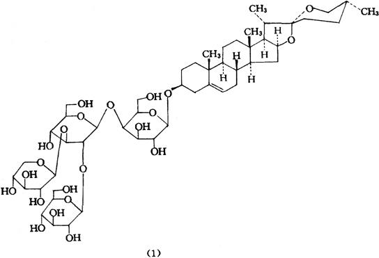
地下部分含蜘蛛抱蛋甙(Aspidistrin)(1)[1,2]

参考文献 [1] 医学中央杂志(日)1968;235∶349 [2] Chem Pharm Bull 1973;21(1)∶224

【药理】:

蜘蛛抱蛋煎剂0.15~1.5mg/50ml浓度,用反相被动血凝抑制试验,表明对乙型肝炎病毒表面抗原(HBsAg)有抑制作用。

参考文献 中国医药学报 1991;6(3)∶158

【药性】:

性味 ❶ 《贵州民间药物》:“性温,味辛、微涩。”
❷ 《全国中草药汇编》:“甘,温。”

功效 活血通络,泄热利尿。

主治 治跌打损伤,腰痛,经闭腹痛,头痛,牙痛,热咳伤暑,泄泻,砂淋。 ❶ 《植物名实图考》:“治热疟:腰痛,咳嗽。”
❷ 《贵州民间药物》:“止痛,接骨,补虚弱。”
❸ 《湖南药物志》:“行气活血,止血退热,强筋骨。治泄泻,经闭腹痛,跌打损伤,筋骨痛。”
❹ 《全国中草药汇编》:“活血散瘀,补虚止咳。主治:跌打损伤,风湿筋骨痛,腰痛,肺虚咳嗽,咯血。”

用法用量 内服:煎汤,9~15g。

。【临床应用】:

方选和验方 ❶ 《贵州民间药物》:“治多年腰痛:蜘蛛抱蛋45g,杜仲30g,白浪稿泡15g,煎水兑酒服。”
❷ 《湖南药物志》:“治砂淋:蜘蛛抱蛋、大通草、木通、煎水服。”

单方应用 ❶ 《贵州民间药物》:“治跌打损伤:蜘蛛抱蛋煎水服,可止痛;捣烂后包伤处,能接骨。”
❷ 《贵州民间药物》:“治疟疾:蜘蛛抱蛋研末,大人3g,小儿1.5g,于发疟前3小时用开水吞服。”
❸ 《湖南药物志》:“治筋骨痛:蜘蛛抱蛋9~15g,水煎服。”
❹ 《湖南药物志》:“治经闭腹痛:蜘蛛抱蛋9~15g,水煎服。”
❺ 《福建中草药》:“治风火头痛,牙痛:鲜蜘蛛抱蛋全草30~60g,煎服。”
❻ 《福建中草药》:“治肺热咳嗽:鲜蜘蛛抱蛋30g,水煎,调冰糖服。”
❼ 《福建中草药》:“治伤暑发热身痛,昏睡,喜呕,腹痛(俗名斑痧):鲜蜘蛛抱蛋30g,水煎服。”
❽ 《福建药物志》:“治急性肾炎:蜘蛛抱蛋根茎、连钱草各30g,水煎服。”
❾ 《福建药物志》:“治关节痛;蜘蛛抱蛋根茎30g,十大功劳15g,酒水各半炖服。”
❿ 《民间方》:“治风寒感冒发热:蜘蛛抱蛋将大根洗净,每次3~5g,与大蒜同用更佳。”

随便看

 

离鸟网收录3541549条中英文词条,其功能与新华字典、现代汉语词典、牛津高阶英汉词典等各类中英文词典类似,基本涵盖了全部常用中英文字词句的读音、释义及用法,是语言学习和写作的有利工具。

 

Copyright © 2004-2024 vtrois.com All Rights Reserved
更新时间:2026/4/9 10:10:02