螺克拉明
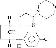
C20H25C1N2O=344.88 CAS-90243-97-3 (-)-(1R,2R,3S,4S)-3-(对-氯苯基)-2′-吗啉基螺去甲-菠烷-2,5′-[1]吡咯啉。 (-)-(1R,2R,3S,4S)-3-(p-Chlorophenyl)-2′-morpholinospiro norbornane-2,5′-[1]pyrroline. 3-(4-氯苯基)-3′,4′-二氢-5′-(4-吗啉基)螺二环并[2.2.1]庚烷-2,2′-(2H)吡咯。 3-(4-Chlorophenyl)-3′,4′-dihydro-5′-(4-morpholinyl)spirobicyclo[2.2.1]heptane-2,2′-(2H)pyrrole. 抗抑郁药。 Spiclamine. INN,USAN.  |