网站首页  词典首页


请输入您要查询的字词:

 

字词 螺前列素
类别 中英文字词句释义及详细解析
释义 螺前列素

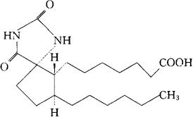
C20H34N2O4=366.50

CAS-122946-42-3

(±)-(5R*,6S*,7R*)-7-己基-2,4-二氧代-1,3-二氮杂螺[4,4]壬烷-6-庚酸。

(±)-(5R*,6S*,7R*)-7-Hexyl-2,4-dioxo-1,3-diazaspiro[4,4]nonane-6-heptanoic acid.

抗溃疡药。

Spiriprostil.

INN,USAN.

随便看

 

离鸟网收录3541549条中英文词条,其功能与新华字典、现代汉语词典、牛津高阶英汉词典等各类中英文词典类似,基本涵盖了全部常用中英文字词句的读音、释义及用法,是语言学习和写作的有利工具。

 

Copyright © 2004-2024 vtrois.com All Rights Reserved
更新时间:2026/4/8 21:24:47