网站首页  词典首页


请输入您要查询的字词:

 

字词 螺纹联接的拧紧
类别 中英文字词句释义及详细解析
释义 螺纹联接的拧紧

拧紧力矩的计算式如下:

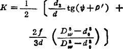
d为螺纹公称直径(大径)(mm),见图4.2-1;K为拧紧力矩系数:

(4.2-2)

对于M10~M68粗牙普通螺纹的钢制螺栓和螺母,在无润滑条件下,K值一般在0.2左右。

常用控制预紧力F′的方法有:1.力矩法,即控制拧紧力矩;2.螺母转角法,即控制螺母转角;3.测量螺栓伸长法,即拧紧时测其变形量;4.螺栓预伸长法,即用预变形装置先将螺栓拉长到设计的变形量,随之拧上螺母,再去掉加载装置,即产生设计的预紧力(此法的优点是,螺栓不受扭转剪应力)。

随便看

 

离鸟网收录3541549条中英文词条,其功能与新华字典、现代汉语词典、牛津高阶英汉词典等各类中英文词典类似,基本涵盖了全部常用中英文字词句的读音、释义及用法,是语言学习和写作的有利工具。

 

Copyright © 2004-2024 vtrois.com All Rights Reserved
更新时间:2026/4/5 17:43:22