网站首页  词典首页


请输入您要查询的字词:

 

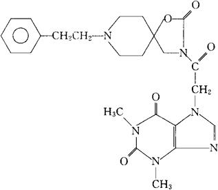
字词 螺茶碱
类别 中英文字词句释义及详细解析
释义 螺茶碱

C24H28N6O5=480.52

CAS-98204-48-9

8-苯乙基-3-[(1,2,3,6-四氢-1,3-二甲基-2,6-二氧代嘌呤-7基)乙酰]-1-氧杂-3,8-二氮杂螺[4,5]癸烷-2-酮。

8-Phenethyl-3-[(1,2,3,6-tetrahydro-1,3-dimethyl2,6-dioxopurin-7-yl)acetyl]-1-oxa-3,8-diazaspiro[4,5]decan-2-one.

支气管扩张抗炎药。

Spirofylline.

INN,USAN.

随便看

 

离鸟网收录3541549条中英文词条,其功能与新华字典、现代汉语词典、牛津高阶英汉词典等各类中英文词典类似,基本涵盖了全部常用中英文字词句的读音、释义及用法,是语言学习和写作的有利工具。

 

Copyright © 2004-2024 vtrois.com All Rights Reserved
更新时间:2026/4/6 22:04:43