蟛鱼鳃
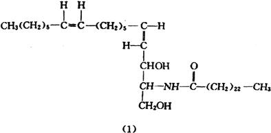
【概况】: 异名 角蟛、角燕(《中国药用海洋生物》)。 基源 为蝠鲼科蝠鲼属动物双吻前口蝠鲼,日本蝠鲼的干燥鳃。 原动物 双吻前口蝠鲼Manta birostris(Walbaum)日本蝠鲼Mobula japonica(Müller et Henle)。 形态 双吻前口蝠鲼:体盘菱形。 头宽大,稍突起,前缘扁薄,平切。头鳍侧扁。大而长方形,能自由摇动,并能从下向上转卷成管状。 眼大。口前位,很宽大,下颌突出。 上颌无牙,下颌具一细狭带,牙细小,粒状,约100多,纵行。背鳍一个,小型。 尾细而短,尾刺1个,包于皮下。背鳍青灰色。 成体背面深青褐色,头侧至肩区具灰白色大斑一对,腹面淡白色。(图见《中国动物药》.185页.图188) 生境与分布 为暖水性中上层大型鲼类。 以浮游甲壳类和小鱼为食。分布于黄海,东海和南海。 日本蝠鲼与前种相似。但喷水孔三角形和尾细长如鞭,约等于体长的3倍(上种仅为1.2倍)可与之区别。 (图见《中国动物药》.185页.图189)栖息于温暖的海洋中,生活在水底。以浮游生物和小鱼为食。分布于南海和东海。 。【生药】: 采集 夏、秋季捕捉,将鳃取出,用淡水洗去咸质,晒干。 贮藏 放干燥凉爽通风处保存。 【化学】: 分出8种结晶化合物,主为△4,5(E)、△11,12(Z)鞘氨醇一正二十四碳酰胺(1)[1],十八酸胆甾醇酯、胸腺嘧啶、N,N-二甲基尿素、尿素(约0.5%)、十八酸(0.005%)、胆甾醇;另含脯氨酸、苏氨酸和精氨酸等17种氨基酸。  参考文献 [1] 中国海洋药物杂志 1990;9(2)(总34)∶1 【药性】: 功效 清热解毒,透疹。 主治 小儿麻疹,疱疖肿毒及跌打损伤等症。 用法用量 内服:煎汤,9~15g。 。【临床应用】: 单方应用 ❶ 《中国动物药》:“治小儿麻疹不出,高热不退:蟛鱼鳃20g,水煎分2次服,早晚各服1次。” ❷ 《中国动物药》:“治疱疡:蟛鱼鳃10g,水煎服,日2次。” |