蟾立苏[中]
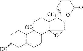
C24H32O4=384.52 CAS-465-39-4 3β-羟基-14,15β-环氧-5β-蟾酥甾-20,22-二烯丙酯。 3β-Hydroxy-14,15β-epoxy-5β-bufa-20,22-dienolide. 兴奋呼吸、强心、升压,并能改善冠脉血流量与肾血流量。用于麻醉、镇静、镇痛药物所引起的中枢性呼吸抑制,亦可改善一氧化碳中毒、肺心病、重症肺炎所致呼吸衰竭、新生儿窒息的急救、各种麻醉及手术期间的低血压、低血容量休克、创作性休克及心源性休克。 脂蟾毒配基,残余蟾蜍配基,蟾立苏,布福吉宁。 Resibufogenin,Bufogenin,Bufogenina,Respigon. 蟾立苏注射液。 INN,DCIT,JAN,NFN,USAN,MI.  |