网站首页  词典首页


请输入您要查询的字词:

 

字词 血流速度
类别 中英文字词句释义及详细解析
释义 血流速度

又称血流量,即单位时间内流经血管横断面的血量。

心输出量就是每单位时间的血流量。每单位时间流过某一器官的血流数量,则称为器官血流量。

血流速度(血流量)与血流线速度不同,后者表示血管内某一分子(如一个血细胞),在单位时间内移动的距离。

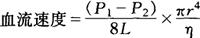
血流量的计算公式为:

该公式称为泊肃叶(普瓦泽伊)氏定律(Poiseuille’s law),P1和P2分别表示长度为L和半径为r的血管两末端的压力,η为黏滞力。

这个公式适合于血液呈层流方式流动,而不符合于湍流测定。

随便看

 

离鸟网收录3541549条中英文词条,其功能与新华字典、现代汉语词典、牛津高阶英汉词典等各类中英文词典类似,基本涵盖了全部常用中英文字词句的读音、释义及用法,是语言学习和写作的有利工具。

 

Copyright © 2004-2024 vtrois.com All Rights Reserved
更新时间:2026/4/9 14:50:22