网站首页  词典首页


请输入您要查询的字词:

 

字词 装锅送液过程的计算
类别 中英文字词句释义及详细解析
释义 装锅送液过程的计算

1.入锅木片及产浆量的计算

每米3锅容装绝干木片量G2

每米3锅容产绝干浆量G3

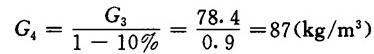
每米3锅容产风干浆量G4

每锅产风干浆量G

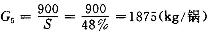
每产1吨风干浆需装绝干木片量G5

木片带入的水分W:

每米3锅容木片带入的水分V1

2.入锅白液及黑液量的计算

每米3锅容送入的白液及黑液量V2

每产1t风干浆应送液量V3

每产1t风干浆耗用活性碱(Na2O计)量W2

需送白液体积V1

白液占总碱液量的百分比E:

送入黑液的体积V5

黑液体积占总碱液量的百分比F:

3.白液组成的计算

已知:硫化度B为25%,苛化率D为88%,还原率Q为92%,则:

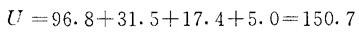
自液组成原成分总量U:

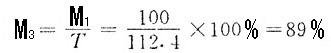
碱液活性度M3

入锅白液的总Na2O量W3

以Na2()折合原成分的换算系数K:

入锅白液所含无机盐(Na2S.Na2CO3和Na2SO4)的量W4

4.入锅黑液的组成计算

已知:黑液固形物中有机物与无饥物之比为7:3,则:

入锅黑液的固形物W3

式中 0.183——浓度为12°Be′(15()的黑液,每升含有绝干固形物为0.183kg

入锅黑液中有机物量W6

入锅黑液中无机物量W7

黑液的Na2O含量W8(取黑液无机物的组成与白液相同):

入锅全部物料量列入表1-2-23。

表1-2-23 入锅物料组分及数量表 (kg/t风干浆)

随便看

 

离鸟网收录3541549条中英文词条,其功能与新华字典、现代汉语词典、牛津高阶英汉词典等各类中英文词典类似,基本涵盖了全部常用中英文字词句的读音、释义及用法,是语言学习和写作的有利工具。

 

Copyright © 2004-2024 vtrois.com All Rights Reserved
更新时间:2026/4/7 17:48:29