网站首页  词典首页


请输入您要查询的字词:

 

字词 西佐喃[中]
类别 中英文字词句释义及详细解析
释义 西佐喃[中]

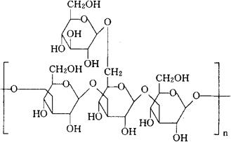
(C24H40O20)n

CAS-9050-67-3

聚[3→(O-β-D-吡喃葡糖基(1→3)-O-[β-D-吡喃葡糖基-(1→6)]-O-β-D-吡喃葡糖基-(1→3)-O-β-D-吡喃葡糖基)→1]。

Poly[3→(O-β-D-glucopyranosyl(1→3)-O[β-D-glucopyranosyl-(1→6)]-O-β-D-glucopyranosyl-(1→3)-O-β-D-glucopyranosyl)→1].

抗肿瘤药。

西索菲兰。

Sizofiran.

INN,USAN,MI.

随便看

 

离鸟网收录3541549条中英文词条,其功能与新华字典、现代汉语词典、牛津高阶英汉词典等各类中英文词典类似,基本涵盖了全部常用中英文字词句的读音、释义及用法,是语言学习和写作的有利工具。

 

Copyright © 2004-2024 vtrois.com All Rights Reserved
更新时间:2026/4/6 21:51:51