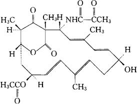
西地霉素
C27H35NO8=501.58 CAS-23477-98-7 [1S-(1R*,2S*,3E,5E,7R*,9E,11E,13R*,15S*,19S*)]-N-[13-乙酰氧-7-羟-1,4,10,19-四甲基-17,18-二氧代-16-噁二环并[13,2,2]十九烷基-3,5,9,11-四烯-2-基]-2-氧代-丙酰胺。 [1S-(1R*,2S*,3E,5E,7R*,9E,11E,13R*,15S*,19S*)]-N-[13-(acetyloxy)-7-Hydroxy-1,4,10,19-tetramethyl-17,18-dioxo-16-oxabicyclo[13,2,2]nonadeca-3,5,9,11-tetraen-2-yl]-2-oxo-propanamide. (-)-N-[(1S,2R,3E,5E,7S,9E,11E,13S,15R,19R)-7,13-二羟-1,4,10,19-四甲基-17,18-二氧代-16-噁二环并[13,2,2]十九烷基-3,5,9,11-四烯-2-基]丙酮酰胺13-醋酸。 (-)-N-[(1S,2R,3E,5E,7S,9E,11E,13S,15R,19R)-7,13-Dihydroxy-1,4,10,19-tetramethyl-17,18-dioxo-16-oxabicyclo[13,2,2]nonadeca-3,5,9,11-tetraen-2-yl]pyruvamide 13-acetate. 抗菌药(兽用)。 司得卡霉素。 Sedecamycin,Ro 23-0731/000,T-2636A,Bundlin,T-2636. INN,USAN. 
|