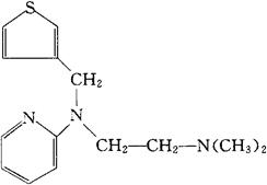
西尼二胺
C14H19N3S=261.38 CAS-91-79-2 CAS-958-93-0(hydrochloride) N,N-二甲基-N-2-吡啶基--N′-(3-噻吩甲基)-1,2-乙烷二胺。 N,N-Dimethyl-N-2-pyridinyl-N′-(3-thienylmethyl)-1,2-ethanediamine. 2-[[2-(二甲氨基)乙基]-3-噻吩甲氨基]吡啶。 2-[[2-(Dimethylamino)ethyl]-3-thenylamino]pyridine. N′N′-二甲基-N-2-吡啶基-N-3-噻吩甲基乙烯二胺。 N′N′-Dimethyl-N-2-pyridyl-N-3-thenylethylenediamine. 抗组胺药。 Thenyldiamine,Thenfadil,Tenfidil,Thenfanil,Dethylandiamine,Win 2848. INN,BAN,USAN,MI.  |