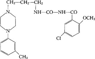
西托拉嗪
C23H29ClN4O3=444.96 CAS-54063-30-8 1-(5-氯-2-甲氧基苯甲酰)-3-[3-(4-间-甲苯基-1-哌嗪)丙基]脲。 1-(5-Chloro-2-methoxybenzoyl)-3-[3-(4-m-tolyl-1-piperazinyl)propyl]urea. 5-氯-2-甲氧-N-[[[3-[4-(3-甲苯基)-1-哌嗪基]丙基]氨基]羰基]苯甲酰胺。 5-Chloro-2-methoxy-N-[[[3-[4-(3-methylphenyl)-1-piperzinyl]propyl]amimo]carbonyl]benzamide. 肌肉松弛药。 西托哌嗪。 Ciltoprazine. INN,USAN. 
|