网站首页  词典首页


请输入您要查询的字词:

 

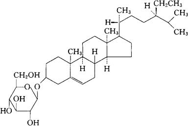
字词 西托糖苷
类别 中英文字词句释义及详细解析
释义 西托糖苷

C35H60O6=576.86

CAS-474-58-8

(3β)-豆甾-5-烯-3-基β-D-吡喃葡糖甙。

β-D-Glucopyranoside,(3β)-stigmast-5-en-3-yl.

3β-(β-D-吡喃葡糖甙氧代)豆甾-5-烯。

3β-(β-D-Glucopyranosyloxy)stigmast-5--ene.

抗前列腺增生药。

Sitogluside,BSSG,EU-4906,AW 10,WA 184.

INN,USAN.

随便看

 

离鸟网收录3541549条中英文词条,其功能与新华字典、现代汉语词典、牛津高阶英汉词典等各类中英文词典类似,基本涵盖了全部常用中英文字词句的读音、释义及用法,是语言学习和写作的有利工具。

 

Copyright © 2004-2024 vtrois.com All Rights Reserved
更新时间:2026/4/7 6:01:19