网站首页  词典首页


请输入您要查询的字词:

 

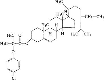
字词 西托贝特
类别 中英文字词句释义及详细解析
释义 西托贝特

C39H59ClN3=611.35

CAS-55902-94-8

2-(对-氯苯氧)2-甲基丙酸豆甾-5-烯-3β-醇酯。

Stigmast-5-en-3β-ol 2-(p-chlorophenoxy)-2-methylpropionate.

降血脂药。

斯托贝特。

Sitofibrate,Longeril.

INN,USAN.

随便看

 

离鸟网收录3541549条中英文词条,其功能与新华字典、现代汉语词典、牛津高阶英汉词典等各类中英文词典类似,基本涵盖了全部常用中英文字词句的读音、释义及用法,是语言学习和写作的有利工具。

 

Copyright © 2004-2024 vtrois.com All Rights Reserved
更新时间:2026/4/5 14:37:59