西曲瑞克
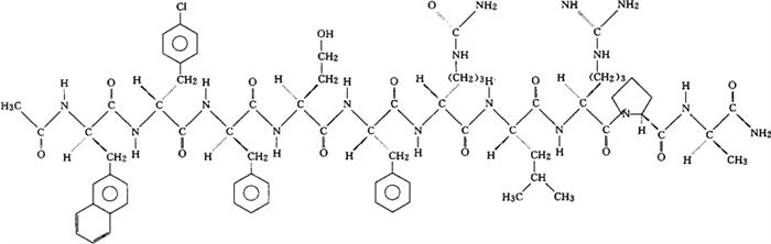
C70H92ClN17O14=1413.06 CAS-120287-85-6 N-乙酰-3-(2-萘基)-D-丙氨酰-对氯-D-苯丙氨酰-3-(3-吡啶基)-D-丙氨酰-L-丝氨酰-L-酪氨酰-N5-甲氨酰-D-鸟氨酰-L-亮氨酰-L-精氨酰-L-脯氨酰-D-丙氨酰胺。 N-Acetyl-3-(2-naphthyl)-D-alanyl-p-chloro-Dphenylalanyl-3-(3-pyridyl)-D-alanyl-L-seryl-L-tyrosyl-N5-carbamoyl-D-ornithyl-L-leucyl-L-arginylL-prolyl-D-alaninamide. 抗肿瘤药。 Cetrirelix. INN,USAN.  |