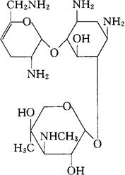
西梭霉素
C19H37N5O7=447.53 CAS-32385-11-8 O-3-脱氧-4-C-甲基-3-甲氨基-β-L-阿拉伯吡喃糖基-(1→4)-O-[2.6-二氨基-2,3,4,6-四脱氧-α-D-甘油-己-4-烯吡喃基(1→6)]-2-脱氧-L-链霉胺。 O-3-Deoxy-4-C-methyl-3-(methylamino)-β-L-arabinopyranosyl-(1-→4)-O-[2.6-diamino-2,3,4,6-tetradeoxy-α-D-glycero-hex-4-enopyranosyl(1→6)]-2-deoxy-L-streptamine. 抗生素类药,抗菌药。 西索米星,紫苏霉素。 Sisomicin,Sissomicin,Rickamicin Sisolline. INN,DCIT,JAN,USAN,USP,MI.  |