西洛芬净
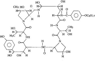
C49H71N7O17=1030.14 CAS-79404-91-4 1-[(4R,5R)-4,5-二羟-N2-[对-(辛氧)苯甲酰]-L-鸟氨酸]剌假丝菌素B。 1-[(4R,5R)-4,5-Dihydroxy-N2-[p-(octyloxy)benzoyl]-L-ornithine]echinocandin B. (4R,5R)-4,5-二羟-N2-[对-(氧辛)苯甲酰]-L-鸟氨酰-L-苏氨酰-反式-4-羟-L-脯氨酰-(S)-4-羟-4-(对-羟苯基)-L-苏氨酰-L-苏氨酰-(3S,4S)-3-羟-4-甲基-L-脯氨酸环(6→1)-肽。 (4R,5R)-4,5-Dihydroxy-N2-[p-(octyloxy)benzoyl]-L-ornithyl-L-threonyl-trans-4-hydroxy-Lprolyl-(S)-4-hydroxy-4-(p-hydroxyphenyl)-L-threonyl-L-threonyl-(3S,4S)-3-hydroxy-4-methyl-Lproline cyclic(6-→1)-peptide. 抗真菌药。 Cilofungin,LY121019. INN,USAN. 
|