西芬林琥珀酸盐
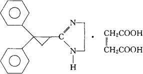
C18H18N2·C4H6O4=380.44 CAS-100678-32-8 (±)-2-(2,2-二苯环丙基)-4.5-二氢-1H-咪唑丁二酸盐(1∶1)。 (±)2-(2,2-Diphenylcyclopropyl)-4,5-dihydro-1Himidazole,butanedioate(1∶1). (±)-2-(2,2-二苯环丙基)-2-咪唑啉琥珀酸盐(1∶1)。 (±)-2-(2,2-Diphenylcyclopropyl)-2-imidazoline succinate(1∶1). 抗心律失常药。 西苯唑啉琥珀酸盐,琥珀酸西芬林。 Cifenline Succinate,Cibenzoline Succinate,Ro 22-7796/001 Cipralan,UP-33901,Ritmalan. BAN,USAN. 
|