网站首页  词典首页


请输入您要查询的字词:

 

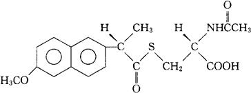
字词 西萘普生
类别 中英文字词句释义及详细解析
释义 西萘普生

C19H21NO5S=375.44

CAS-89163-44-0

酸(+)-(S)-6-甲氧-α-甲基-2-萘乙酸N-乙酰-L-半胱氨酯。

N-Acetyl-L-Cycteine(+)-(S)-6-methoxy-α-methyl2-naphthaleneacetate(ester).

消炎镇痛药,粘液溶解剂。

西拉普罗新。

Cinaproxln.

INN,USAN.

随便看

 

离鸟网收录3541549条中英文词条,其功能与新华字典、现代汉语词典、牛津高阶英汉词典等各类中英文词典类似,基本涵盖了全部常用中英文字词句的读音、释义及用法,是语言学习和写作的有利工具。

 

Copyright © 2004-2024 vtrois.com All Rights Reserved
更新时间:2026/5/25 17:54:04