网站首页  词典首页


请输入您要查询的字词:

 

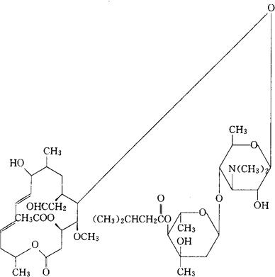
字词 角沙霉素
类别 中英文字词句释义及详细解析
释义 角沙霉素

C42H69NO15=828.00

CAS-56689-45-3

3-乙酸4β-(3-甲基丁酸)白霉素V。

Leucomycin V,3-acetate 4β(3-methylbutanoate).

抗生素类药,抗菌药。

交沙霉素。

Josamycin,Iasalide,Jomybel,Jomybel.

INN,DCIT,JAN,JP,USAN,MI.

随便看

 

离鸟网收录3541549条中英文词条,其功能与新华字典、现代汉语词典、牛津高阶英汉词典等各类中英文词典类似,基本涵盖了全部常用中英文字词句的读音、释义及用法,是语言学习和写作的有利工具。

 

Copyright © 2004-2024 vtrois.com All Rights Reserved
更新时间:2026/5/25 17:19:01